Benzidine
Names
Preferred IUPAC name
[1,1′-Biphenyl]-4,4′-diamine
Other names
Benzidine, di-phenylamine, diphenylamine, 4,4'-bianiline, 4,4'-biphenyldiamine, 1,1'-biphenyl-4,4'-diamine, 4,4'-diaminobiphenyl, p -diaminodiphenyl, p -benzidine
Identifiers
CAS Number
3D model (JSmol)
ChEBI
ChEMBL
ChemSpider
ECHA InfoCard
100.002.000
EC Number
KEGG
RTECS number
UNII
UN number
1885
InChI=1S/C12H12N2/c13-11-5-1-9(2-6-11)10-3-7-12(14)8-4-10/h1-8H,13-14H2
Y Key: HFACYLZERDEVSX-UHFFFAOYSA-N
Y InChI=1/C12H12N2/c13-11-5-1-9(2-6-11)10-3-7-12(14)8-4-10/h1-8H,13-14H2
Key: HFACYLZERDEVSX-UHFFFAOYAX
Properties
Chemical formula
C12 H12 N2
Molar mass
184.24 g/mol
Appearance
Grayish-yellow, reddish-gray, or white crystalline powder[ 1]
Density
1.25 g/cm3
Melting point
122 to 125 °C (252 to 257 °F; 395 to 398 K)
Boiling point
400 °C (752 °F; 673 K)
Solubility in water
0.94 g/100 mL at 100 °C
Magnetic susceptibility (χ)
−110.9·10−6 cm3 /mol
Related compounds
Related compounds
biphenyl
Hazards
Occupational safety and health (OHS/OSH):
Main hazards
carcinogenic
GHS labelling:
Pictograms
Signal word
Danger
Hazard statements
H302 , H350 , H410
Precautionary statements
P201 , P202 , P264 , P270 , P273 , P281 , P301+P312 , P308+P313 , P330 , P391 , P405 , P501
NIOSH (US health exposure limits):
PEL (Permissible)
occupational carcinogen[ 1]
Except where otherwise noted, data are given for materials in their standard state (at 25 °C [77 °F], 100 kPa).
Infobox references
Benzidine (trivial name), also called 1,1'-biphenyl -4,4'-diamine (systematic name), is an organic compound with the formula (C6 H4 NH2 )2 . It is an aromatic amine. It is a component of a test for cyanide. Related derivatives are used in the production of dyes . Benzidine has been linked to bladder and pancreatic cancer.[ 2]
Synthesis and properties
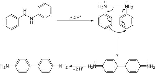
Benzidine is prepared in a two step process from nitrobenzene . First, the nitrobenzene is converted to 1,2-diphenylhydrazine , usually using iron powder as the reducing agent. Treatment of this hydrazine with mineral acids induces a rearrangement reaction to 4,4'-benzidine. Smaller amounts of other isomers are also formed.[ 3] The benzidine rearrangement , which proceeds intramolecularly, is a classic mechanistic puzzle in organic chemistry.[ 4]
The conversion is described as a [5,5] sigmatropic reaction.[ 5] [ 6]
In terms of its physical properties, 4,4'-benzidine is poorly soluble in cold water but can be recrystallized from hot water, where it crystallises as the monohydrate. It is dibasic, the deprotonated species has K a values of 9.3 × 10−10 and 5.6 × 10−11 . Its solutions react with oxidizing agents to give deeply coloured quinone-related derivatives.
Applications
Conversion of benzidine to the bis(diazonium) salt was once an integral step in the preparation of direct dyes (requiring no mordant). Treatment of this bis(diazonium) salt with 1-aminonaphthalene-4-sulfonic acid gives the once popular congo red dye. In the past, benzidine was used to test for blood. An enzyme in blood causes the oxidation of benzidine to a distinctively blue-coloured derivative. The test for cyanide relies on similar reactivity. Such applications have largely been replaced by methods using phenolphthalein /hydrogen peroxide and luminol .
The popular dye congo red is derived from benzidine.
A variety of derivatives of 4,4’-benzidine are commercially produced on the scale of one to a few thousand kilograms per year, mainly as precursors to dyes and pigments.[ 3] These derivatives include, in order of scale, the following:
3,3'-Dichlorobenzidine
o -tolidine , 3,3'-dimethyl-4,4’-benzidine
o -dianisidine (3,3'-dimethoxy-4,4’-benzidine, CAS# 119-90-4, m.p. 133 °C)
3,3',4,4'-Tetraamino-diphenyl , precursor to polybenzimidazole fiber .
Safety
As with some other aromatic amines such as 2-naphthylamine , benzidine has been significantly withdrawn from use in most industries because it is so carcinogenic. In August 2010 benzidine dyes were included in the U.S. EPA's List of Chemicals of Concern.[ 7]
The manufacture of Benzidine has been illegal in the UK since at least 2002 under the Control of Substances Hazardous to Health Regulations 2002 (COSHH).
References
^ a b NIOSH Pocket Guide to Chemical Hazards. "#0051" . National Institute for Occupational Safety and Health (NIOSH).
^ "Known and Probable Carcinogens" . American Cancer Society. 2011-06-29. Archived from the original on 2008-03-17. Retrieved 2007-01-12 .
^ a b Schwenecke, H.; Mayer, D. (2005). "Benzidine and Benzidine Derivatives". Ullmann's Encyclopedia of Industrial Chemistry . Weinheim: Wiley-VCH. doi:10.1002/14356007.a03_539 . ISBN 978-3-527-30673-2 .
^ March, J. (1992). Advanced Organic Chemistry (5th ed.). New York: J. Wiley and Sons. ISBN 0-471-60180-2 .
^ Shine, H. J.; Zmuda, H.; Park, K. H.; Kwart, H.; Horgan, A. G.; Collins, C.; Maxwell, B. E. (1981). "Mechanism of the benzidine rearrangement. Kinetic isotope effects and transition states. Evidence for concerted rearrangement". Journal of the American Chemical Society . 103 (4): 955– 956. doi:10.1021/ja00394a047 . .
^ Shine, H. J.; Zmuda, H.; Park, K. H.; Kwart, H.; Horgan, A. G.; Brechbiel, M. (1982). "Benzidine rearrangements. 16. The use of heavy-atom kinetic isotope effects in solving the mechanism of the acid-catalyzed rearrangement of hydrazobenzene. The concerted pathway to benzidine and the nonconcerted pathway to diphenyline". Journal of the American Chemical Society . 104 (9): 2501– 2509. doi:10.1021/ja00373a028 .
^ "Benzidine Dyes Action Plan Summary" . U. S. Environmental Protection Agency. 2010-08-18. Archived from the original on 2010-08-21.
Topics in organic reactions
Addition reaction
Elimination reaction
Polymerization
Reagents
Rearrangement reaction
Redox reaction
Regioselectivity
Stereoselectivity
Stereospecificity
Substitution reaction
A value
Alpha effect
Annulene
Anomeric effect
Antiaromaticity
Aromatic ring current
Aromaticity
Baird's rule
Baker–Nathan effect
Baldwin's rules
Bema Hapothle
Beta-silicon effect
Bicycloaromaticity
Bredt's rule
Bürgi–Dunitz angle
Catalytic resonance theory
Charge remote fragmentation
Charge-transfer complex
Clar's rule
Conformational isomerism
Conjugated system
Conrotatory and disrotatory
Curtin–Hammett principle
Dynamic binding (chemistry)
Edwards equation
Effective molarity
Electromeric effect
Electron-rich
Electron-withdrawing group
Electronic effect
Electrophile
Evelyn effect
Flippin–Lodge angle
Free-energy relationship
Grunwald–Winstein equation
Hammett acidity function
Hammett equation
George S. Hammond
Hammond's postulate
Homoaromaticity
Hückel's rule
Hyperconjugation
Inductive effect
Kinetic isotope effect
LFER solvent coefficients (data page)
Marcus theory
Markovnikov's rule
Möbius aromaticity
Möbius–Hückel concept
More O'Ferrall–Jencks plot
Negative hyperconjugation
Neighbouring group participation
2-Norbornyl cation
Nucleophile
Kennedy J. P. Orton
Passive binding
Phosphaethynolate
Polar effect
Polyfluorene
Ring strain
Σ-aromaticity
Spherical aromaticity
Spiroaromaticity
Steric effects
Superaromaticity
Swain–Lupton equation
Taft equation
Thorpe–Ingold effect
Vinylogy
Walsh diagram
Woodward–Hoffmann rules
Woodward's rules
Y-aromaticity
Yukawa–Tsuno equation
Zaitsev's rule
Σ-bishomoaromaticity
List of organic reactions
Carbon-carbon bond forming reactions Homologation reactions
Arndt–Eistert reaction
Hooker reaction
Kiliani–Fischer synthesis
Kowalski ester homologation
Methoxymethylenetriphenylphosphorane
Seyferth–Gilbert homologation
Wittig reaction
Olefination reactions
Bamford–Stevens reaction
Barton–Kellogg reaction
Boord olefin synthesis
Chugaev elimination
Cope reaction
Corey–Winter olefin synthesis
Dehydrohalogenation
Elimination reaction
Grieco elimination
Hofmann elimination
Horner–Wadsworth–Emmons reaction
Hydrazone iodination
Julia olefination
Julia–Kocienski olefination
Kauffmann olefination
McMurry reaction
Peterson olefination
Ramberg–Bäcklund reaction
Shapiro reaction
Takai olefination
Wittig reaction
Carbon-heteroatom
bond forming reactions
Azo coupling
Bartoli indole synthesis
Boudouard reaction
Cadogan–Sundberg indole synthesis
Diazonium compound
Esterification
Grignard reagent
Haloform reaction
Hegedus indole synthesis
Hurd–Mori 1,2,3-thiadiazole synthesis
Kharasch–Sosnovsky reaction
Knorr pyrrole synthesis
Leimgruber–Batcho indole synthesis
Mukaiyama hydration
Nenitzescu indole synthesis
Oxymercuration reaction
Reed reaction
Schotten–Baumann reaction
Ullmann condensation
Williamson ether synthesis
Yamaguchi esterification
Degradation reactions
Barbier–Wieland degradation
Bergmann degradation
Edman degradation
Emde degradation
Gallagher–Hollander degradation
Hofmann rearrangement
Hooker reaction
Isosaccharinic acid
Marker degradation
Ruff degradation
Strecker degradation
Von Braun amide degradation
Weerman degradation
Wohl degradation
Organic redox reactions
Acyloin condensation
Adkins–Peterson reaction
Akabori amino-acid reaction
Alcohol oxidation
Algar–Flynn–Oyamada reaction
Amide reduction
Andrussow process
Angeli–Rimini reaction
Aromatization
Autoxidation
Baeyer–Villiger oxidation
Barton–McCombie deoxygenation
Bechamp reduction
Benkeser reaction
Bergmann degradation
Birch reduction
Bohn–Schmidt reaction
Bosch reaction
Bouveault–Blanc reduction
Boyland–Sims oxidation
Cannizzaro reaction
Carbonyl reduction
Clemmensen reduction
Collins oxidation
Corey–Itsuno reduction
Corey–Kim oxidation
Corey–Winter olefin synthesis
Criegee oxidation
Dakin oxidation
Davis oxidation
Deoxygenation
Dess–Martin oxidation
DNA oxidation
Elbs persulfate oxidation
Emde degradation
Eschweiler–Clarke reaction
Étard reaction
Fischer–Tropsch process
Fleming–Tamao oxidation
Fukuyama reduction
Ganem oxidation
Glycol cleavage
Griesbaum coozonolysis
Grundmann aldehyde synthesis
Haloform reaction
Hydrogenation
Hydrogenolysis
Hydroxylation
Jones oxidation
Kiliani–Fischer synthesis
Kolbe electrolysis
Kornblum oxidation
Kornblum–DeLaMare rearrangement
Leuckart reaction
Ley oxidation
Lindgren oxidation
Lipid peroxidation
Lombardo methylenation
Luche reduction
Markó–Lam deoxygenation
McFadyen–Stevens reaction
Meerwein–Ponndorf–Verley reduction
Methionine sulfoxide
Miyaura borylation
Mozingo reduction
Noyori asymmetric hydrogenation
Omega oxidation
Oppenauer oxidation
Oxygen rebound mechanism
Ozonolysis
Parikh–Doering oxidation
Pinnick oxidation
Prévost reaction
Reduction of nitro compounds
Reductive amination
Riley oxidation
Rosenmund reduction
Rubottom oxidation
Sabatier reaction
Sarett oxidation
Selenoxide elimination
Shapiro reaction
Sharpless asymmetric dihydroxylation
Epoxidation of allylic alcohols
Sharpless epoxidation
Sharpless oxyamination
Stahl oxidation
Staudinger reaction
Stephen aldehyde synthesis
Swern oxidation
Transfer hydrogenation
Wacker process
Wharton reaction
Whiting reaction
Wohl–Aue reaction
Wolff–Kishner reduction
Wolffenstein–Böters reaction
Zinin reaction
Rearrangement reactions
1,2-rearrangement
1,2-Wittig rearrangement
2,3-sigmatropic rearrangement
2,3-Wittig rearrangement
Achmatowicz reaction
Alkyne zipper reaction
Allen–Millar–Trippett rearrangement
Allylic rearrangement
Alpha-ketol rearrangement
Amadori rearrangement
Arndt–Eistert reaction
Aza-Cope rearrangement
Baker–Venkataraman rearrangement
Bamberger rearrangement
Banert cascade
Beckmann rearrangement
Benzilic acid rearrangement
Bergman cyclization
Bergmann degradation
Boekelheide reaction
Brook rearrangement
Buchner ring expansion
Carroll rearrangement
Chan rearrangement
Claisen rearrangement
Cope rearrangement
Corey–Fuchs reaction
Cornforth rearrangement
Criegee rearrangement
Curtius rearrangement
Demjanov rearrangement
Di-π-methane rearrangement
Dimroth rearrangement
Divinylcyclopropane-cycloheptadiene rearrangement
Dowd–Beckwith ring-expansion reaction
Electrocyclic reaction
Ene reaction
Enyne metathesis
Favorskii reaction
Favorskii rearrangement
Ferrier carbocyclization
Ferrier rearrangement
Fischer–Hepp rearrangement
Fries rearrangement
Fritsch–Buttenberg–Wiechell rearrangement
Gabriel–Colman rearrangement
Group transfer reaction
Halogen dance rearrangement
Hayashi rearrangement
Hofmann rearrangement
Hofmann–Martius rearrangement
Ireland–Claisen rearrangement
Jacobsen rearrangement
Kornblum–DeLaMare rearrangement
Kowalski ester homologation
Lobry de Bruyn–Van Ekenstein transformation
Lossen rearrangement
McFadyen–Stevens reaction
McLafferty rearrangement
Meyer–Schuster rearrangement
Mislow–Evans rearrangement
Mumm rearrangement
Myers allene synthesis
Nazarov cyclization reaction
Neber rearrangement
Newman–Kwart rearrangement
Overman rearrangement
Oxy-Cope rearrangement
Pericyclic reaction
Piancatelli rearrangement
Pinacol rearrangement
Pummerer rearrangement
Ramberg–Bäcklund reaction
Ring expansion and contraction
Ring-closing metathesis
Rupe reaction
Schmidt reaction
Semipinacol rearrangement
Seyferth–Gilbert homologation
Sigmatropic reaction
Skattebøl rearrangement
Smiles rearrangement
Sommelet–Hauser rearrangement
Stevens rearrangement
Stieglitz rearrangement
Thermal rearrangement of aromatic hydrocarbons
Tiffeneau–Demjanov rearrangement
Vinylcyclopropane rearrangement
Wagner–Meerwein rearrangement
Wallach rearrangement
Weerman degradation
Westphalen–Lettré rearrangement
Willgerodt rearrangement
Wolff rearrangement
Ring forming reactions
1,3-Dipolar cycloaddition
Annulation
Azide-alkyne Huisgen cycloaddition
Baeyer–Emmerling indole synthesis
Bartoli indole synthesis
Bergman cyclization
Biginelli reaction
Bischler–Möhlau indole synthesis
Bischler–Napieralski reaction
Blum–Ittah aziridine synthesis
Bobbitt reaction
Bohlmann–Rahtz pyridine synthesis
Borsche–Drechsel cyclization
Bucherer carbazole synthesis
Bucherer–Bergs reaction
Cadogan–Sundberg indole synthesis
Camps quinoline synthesis
Chichibabin pyridine synthesis
Cook–Heilbron thiazole synthesis
Cycloaddition
Darzens reaction
Davis–Beirut reaction
De Kimpe aziridine synthesis
Debus–Radziszewski imidazole synthesis
Dieckmann condensation
Diels–Alder reaction
Feist–Benary synthesis
Ferrario–Ackermann reaction
Fiesselmann thiophene synthesis
Fischer indole synthesis
Fischer oxazole synthesis
Friedländer synthesis
Gewald reaction
Graham reaction
Hantzsch pyridine synthesis
Hegedus indole synthesis
Hemetsberger indole synthesis
Hofmann–Löffler reaction
Hurd–Mori 1,2,3-thiadiazole synthesis
Iodolactonization
Isay reaction
Jacobsen epoxidation
Johnson–Corey–Chaykovsky reaction
Knorr pyrrole synthesis
Knorr quinoline synthesis
Kröhnke pyridine synthesis
Kulinkovich reaction
Larock indole synthesis
Madelung synthesis
Nazarov cyclization reaction
Nenitzescu indole synthesis
Niementowski quinazoline synthesis
Niementowski quinoline synthesis
Paal–Knorr synthesis
Paternò–Büchi reaction
Pechmann condensation
Petrenko-Kritschenko piperidone synthesis
Pictet–Spengler reaction
Pomeranz–Fritsch reaction
Prilezhaev reaction
Pschorr cyclization
Reissert indole synthesis
Ring-closing metathesis
Robinson annulation
Sharpless epoxidation
Simmons–Smith reaction
Skraup reaction
Urech hydantoin synthesis
Van Leusen reaction
Wenker synthesis
Cycloaddition
1,3-Dipolar cycloaddition
4+4 Photocycloaddition
(4+3) cycloaddition
6+4 Cycloaddition
Alkyne trimerisation
Aza-Diels–Alder reaction
Azide-alkyne Huisgen cycloaddition
Bradsher cycloaddition
Cheletropic reaction
Conia-ene reaction
Cyclopropanation
Diazoalkane 1,3-dipolar cycloaddition
Diels–Alder reaction
Enone–alkene cycloadditions
Hexadehydro Diels–Alder reaction
Intramolecular Diels–Alder cycloaddition
Inverse electron-demand Diels–Alder reaction
Ketene cycloaddition
McCormack reaction
Metal-centered cycloaddition reactions
Nitrone-olefin (3+2) cycloaddition
Oxo-Diels–Alder reaction
Ozonolysis
Pauson–Khand reaction
Povarov reaction
Prato reaction
Retro-Diels–Alder reaction
Staudinger synthesis
Trimethylenemethane cycloaddition
Vinylcyclopropane (5+2) cycloaddition
Wagner-Jauregg reaction
Heterocycle forming reactions
Algar–Flynn–Oyamada reaction
Allan–Robinson reaction
Auwers synthesis
Bamberger triazine synthesis
Banert cascade
Barton–Zard reaction
Bernthsen acridine synthesis
Bischler–Napieralski reaction
Bobbitt reaction
Boger pyridine synthesis
Borsche–Drechsel cyclization
Bucherer carbazole synthesis
Bucherer–Bergs reaction
Chichibabin pyridine synthesis
Cook–Heilbron thiazole synthesis
Diazoalkane 1,3-dipolar cycloaddition
Einhorn–Brunner reaction
Erlenmeyer–Plöchl azlactone and amino-acid synthesis
Feist–Benary synthesis
Fischer oxazole synthesis
Gabriel–Colman rearrangement
Gewald reaction
Hantzsch ester
Hantzsch pyridine synthesis
Herz reaction
Knorr pyrrole synthesis
Kröhnke pyridine synthesis
Lectka enantioselective beta-lactam synthesis
Lehmstedt–Tanasescu reaction
Niementowski quinazoline synthesis
Nitrone-olefin (3+2) cycloaddition
Paal–Knorr synthesis
Pellizzari reaction
Pictet–Spengler reaction
Pomeranz–Fritsch reaction
Prilezhaev reaction
Robinson–Gabriel synthesis
Stollé synthesis
Urech hydantoin synthesis
Wenker synthesis
Wohl–Aue reaction
Authority control databases
International National Other