Longifolene
![]() | |
| Names | |
|---|---|
| IUPAC name
(1R,2S,7S,9S)- 3,3,7-trimethyl- 8-methylenetricyclo- [5.4.0.02,9]undecane
| |
| Identifiers | |
CAS Number
|
|
3D model (JSmol)
|
|
Beilstein Reference
|
5731712 2044263 4663756 |
| ChEBI |
|
| ChemSpider | |
| ECHA InfoCard | 100.006.812 |
| EC Number |
|
PubChem CID
|
|
| UNII |
|
CompTox Dashboard (EPA)
|
|
InChI
| |
SMILES
| |
| Properties | |
Chemical formula
|
C15H24 |
| Molar mass | 204.36 g/mol |
| Density | 0.928 g/cm3 |
| Boiling point | 254 °C (489 °F; 527 K) (706 mm Hg) |
| Hazards | |
| GHS labelling: | |
Pictograms
|
![]() ![]()
|
Signal word
|
Danger |
Hazard statements
|
H304, H317, H410 |
Precautionary statements
|
P261, P272, P273, P280, P301+P310, P302+P352, P321, P331, P333+P313, P363, P391, P405, P501 |
Except where otherwise noted, data are given for materials in their standard state (at 25 °C [77 °F], 100 kPa).
Infobox references
| |
Longifolene is a common sesquiterpene. It is an oily liquid hydrocarbon found primarily in the high-boiling fraction of certain pine resins. The name is derived from that of a pine species from which the compound was isolated.[1] It is a tricyclic chiral molecule. The enantiomer commonly found in pines and other higher plants exhibits a positive optical rotation of +42.73°. The other enantiomer (optical rotation −42.73°) is found in small amounts in certain fungi and liverworts.
Occurrence
Terpentine obtained from Pinus longifolia (obsolete name for Pinus roxburghii Sarg.) contains as much as 20% of longifolene.[2]
Longifolene is also one of two most abundant aroma constituents of lapsang souchong tea, because the tea is smoked over pinewood fires.[3]
Biosynthesis
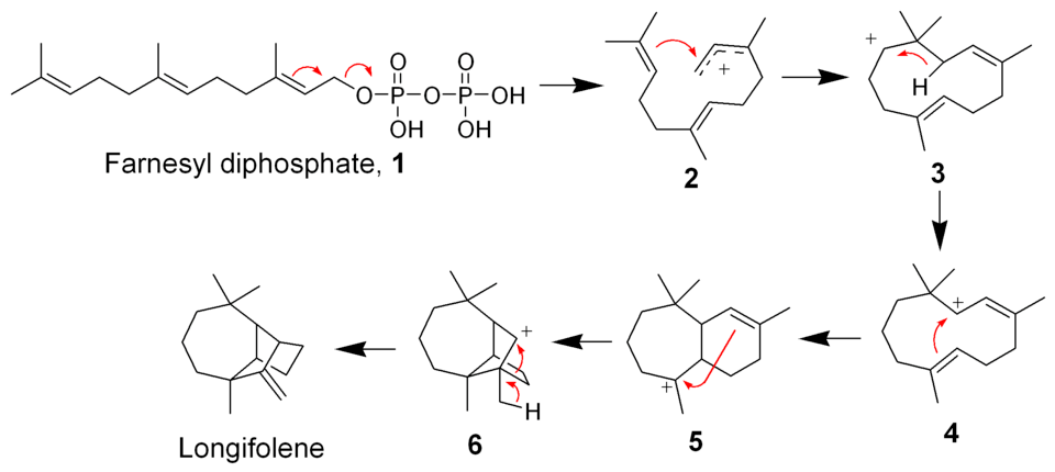
The biosynthesis of longifolene begins with farnesyl diphosphate (1) (also called farnesyl pyrophosphate) by means of a cationic polycyclization cascade. Loss of the pyrophosphate group and cyclization by the distal alkene gives intermediate 3, which by means of a 1,3-hydride shift gives intermediate 4. After two additional cyclizations, intermediate 6 produces longifolene by a 1,2-alkyl migration.

Synthesis and related chemistry
The laboratory characterization and synthesis of longifolene has long attracted attention.[4][5][6][7][8][9][10][11]
![]() |
| Longifolene total synthesis by Corey |
|---|
It reacts with borane to give the derivative dilongifolylborane, which is a chiral hydroborating agent.[12]
References
- ^ Sell, Charles S. (2006). "Terpenoids". Kirk-Othmer Encyclopedia of Chemical Technology. doi:10.1002/0471238961.2005181602120504.a01.pub2. ISBN 0471238961.
- ^ Gscheidmeier, Manfred; Fleig, Helmut (2000). "Turpentines". Ullmann's Encyclopedia of Industrial Chemistry. Weinheim: Wiley-VCH. doi:10.1002/14356007.a27_267. ISBN 3527306730.
- ^ Shan-Shan Yao; Wen-Fei Guo; YI Lu; Yuan-Xun Jiang, "Flavor Characteristics of Lapsang Souchong and Smoked Lapsang Souchong,a Special Chinese Black Tea with Pine Smoking Process", Journal of Agricultural and Food Chemistry, Vol. 53, No.22, (2005)
- ^ Naffa, P.; Ourisson, G. Bulletin de la Société chimique de France, 1954, 1410.
- ^ Corey, E. J.; Ohno, Masaji.; Mitra, Rajat B.; Vatakencherry, Paul A. (February 1964). "Total Synthesis of Longifolene". Journal of the American Chemical Society. 86 (3): 478–485. Bibcode:1964JAChS..86..478C. doi:10.1021/ja01057a039.
- ^ McMurry, John E.; Isser, Stephen J. (October 1972). "Total synthesis of longifolene". Journal of the American Chemical Society. 94 (20): 7132–7137. Bibcode:1972JAChS..94.7132M. doi:10.1021/ja00775a044.
- ^ Volkmann, Robert A.; Andrews, Glenn C.; Johnson, William S. (August 1975). "Novel Synthesis of Longifolene". Journal of the American Chemical Society. 97 (16): 4777–4779. Bibcode:1975JAChS..97.4777V. doi:10.1021/ja00849a062.
- ^ Oppolzer, Wolfgang; Godel, Thierry (April 1978). "A New and Efficient Total Synthesis of (.+-.)-longifolene". Journal of the American Chemical Society. 100 (8): 2583–2584. Bibcode:1978JAChS.100.2583O. doi:10.1021/ja00476a071.
- ^ Schultz, Arthur G.; Puig, Salvador (March 1985). "The Intramolecular Diene-Carbene Cycloaddition Equivalence and an Enantioselective Birch Reduction-Alkylation by the Chiral Auxiliary Approach. Total Synthesis of (.+-.)- and (−)-Longifolene". The Journal of Organic Chemistry. 50 (6): 915–916. doi:10.1021/jo00206a049.
- ^ Bo, Lei; Fallis, Alex G. (May 1990). "Direct total synthesis of (+)-longifolene via an intramolecular Diels-Alder strategy". Journal of the American Chemical Society. 112 (11): 4609–4610. Bibcode:1990JAChS.112.4609B. doi:10.1021/ja00167a105.
- ^ Ho, Gregory J. Org. Chem. 2005, 70, 5139 -5143.
- ^ Dev, Sukh (1981). "Aspects of longifolene chemistry. An example of another Facet of natural products chemistry". Accounts of Chemical Research. 14 (3): 82–88. doi:10.1021/ar00063a004.




