Adamantane
![]() | |||
| |||
| Names | |||
|---|---|---|---|
| Preferred IUPAC name
Adamantane[1] | |||
| Systematic IUPAC name
Tricyclo[3.3.1.13,7]decane[2] | |||
| Identifiers | |||
CAS Number
|
|||
3D model (JSmol)
|
|||
Beilstein Reference
|
1901173 | ||
| ChEBI | |||
| ChEMBL | |||
| ChemSpider | |||
| DrugBank | |||
| ECHA InfoCard | 100.005.457 | ||
| EC Number |
| ||
Gmelin Reference
|
26963 | ||
PubChem CID
|
|||
| UNII | |||
CompTox Dashboard (EPA)
|
|||
InChI
| |||
SMILES
| |||
| Properties | |||
Chemical formula
|
C10H16 | ||
| Molar mass | 136.238 g·mol−1 | ||
| Appearance | White to off-white powder | ||
| Density | 1.07 g/cm3 (25 °C)[2] | ||
| Melting point | 270 °C (518 °F; 543 K)[2] | ||
| Boiling point | Sublimes[2] | ||
Solubility in water
|
Poorly soluble | ||
| Solubility in other solvents | Soluble in hydrocarbons | ||
Refractive index (nD)
|
1.568[2][3] | ||
| Structure | |||
Crystal structure
|
cubic, space group Fm3m | ||
Coordination geometry
|
4 | ||
Dipole moment
|
0 D | ||
| Hazards | |||
| Occupational safety and health (OHS/OSH): | |||
Main hazards
|
Flammable | ||
| GHS labelling: | |||
Pictograms
|
![]()
| ||
Signal word
|
Warning | ||
Hazard statements
|
H319, H400 | ||
Precautionary statements
|
P264, P273, P280, P305+P351+P338, P337+P313, P391, P501 | ||
| Related compounds | |||
Related compounds:
|
Memantine Rimantadine Amantadine | ||
Except where otherwise noted, data are given for materials in their standard state (at 25 °C [77 °F], 100 kPa).
Infobox references
| |||
Adamantane is an organic compound with formula C10H16 or, more descriptively, (CH)4(CH2)6. Adamantane molecules can be described as the fusion of three cyclohexane rings. The molecule is both rigid and virtually strain-free. Adamantane is the most stable isomer of C10H16. The spatial arrangement of carbon atoms in the adamantane molecule is the same as in the diamond crystal. This similarity led to the name adamantane, which is derived from the Greek adamantinos (relating to steel or diamond).[4] It is a white solid with a camphor-like odor. It is the simplest diamondoid.
The discovery of adamantane in petroleum in 1933 launched a new field of chemistry dedicated to the synthesis and properties of polyhedral organic compounds. Adamantane derivatives have found practical application as drugs, polymeric materials, and thermally stable lubricants.
History and synthesis
In 1924, H. Decker suggested the existence of adamantane, which he called decaterpene.[5]
The first attempted laboratory synthesis was made in 1924 by German chemist Hans Meerwein using the reaction of formaldehyde with diethyl malonate in the presence of piperidine. Instead of adamantane, Meerwein obtained 1,3,5,7-tetracarbomethoxybicyclo[3.3.1]nonane-2,6-dione:

This compound, later named Meerwein's ester, was used in the synthesis of adamantane and its derivatives.[6] D. Böttger tried to obtain adamantane using Meerwein's ester as precursor. The product was not adamantane, but a derivative with a tricyclo[3.3.1.13,7] ring system.[7]
Other researchers attempted to synthesize adamantane using phloroglucinol and derivatives of cyclohexanone, but also failed.[8]
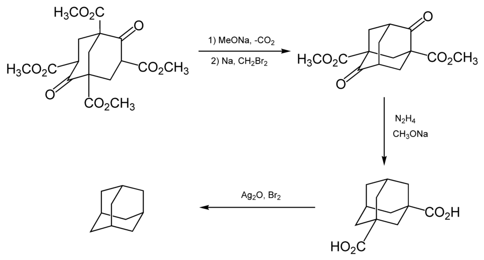
Adamantane was first synthesized by Vladimir Prelog in 1941 from Meerwein's ester.[9][10] With a yield of 0.16%, the five-stage process (simplified in the image below) was impractical for commerce. Prelog's method was refined in 1956. The decarboxylation yield was increased by the addition of the Hunsdiecker pathway (11%) and the Hoffman reaction (24%) that raised the total yield to 6.5%:[11][12]

The method is used to synthesize certain derivatives of adamantane.[8]
A more convenient method was found in 1957 by Paul von Ragué Schleyer: dicyclopentadiene was first hydrogenated in the presence of a catalyst (e.g. platinum dioxide) to give tricyclodecane and then transformed into adamantane using a Lewis acid (e.g. aluminium chloride) as another catalyst:

This method increased the yield to 30–40% and provided an affordable source of adamantane; it therefore stimulated characterization of adamantane and is still used in laboratory practice.[13][14] The process is astonishingly robust: virtually any C10H16 alkane feedstock rearranges to adamantane in a strong Lewis acid.[15] The adamantane synthesis yield was later increased to 60%[16] and 98% by ultrasound and superacid catalysis.[17] Today, adamantane is an affordable chemical compound with a cost of one or two USD per gram.
All the above methods yield adamantane as a polycrystalline powder. Using this powder, single crystals can be grown from the melt, solution, or vapor phase (e.g. with the Bridgman–Stockbarger technique). Melt growth results in the worst crystalline quality with a mosaic spread in the X-ray reflection of about 1°. The best crystals are obtained from the liquid phase, but the growth is impracticably slow – several months for a 5–10 mm crystal. Growth from the vapor phase is a reasonable compromise in terms of speed and quality.[18] Adamantane is sublimed in a quartz tube placed in a furnace, which is equipped with several heaters maintaining a certain temperature gradient (about 10 °C/cm for adamantane) along the tube. Crystallization starts at one end of the tube, which is kept near the freezing point of adamantane. Slow cooling of the tube, while maintaining the temperature gradient, gradually shifts the melting zone (rate ~2 mm/hour), producing a single-crystal boule.[19]

Natural occurrence
Adamantane was first isolated from petroleum by the Czech chemists S. Landa, V. Machacek, and M. Mzourek.[20][21] They used fractional distillation of petroleum. They could produce only a few milligrams of adamantane, but noticed its high boiling and melting points. Because of the (assumed) similarity of its structure to that of diamond, the new compound was named adamantane.[8]
Petroleum remains a source of adamantane; the content varies from between 0.0001% and 0.03% depending on the oil field and is too low for commercial production.[22][23]
Petroleum contains more than thirty derivatives of adamantane.[22] Their isolation from a complex mixture of hydrocarbons is possible due to their high melting point and the ability to distill with water vapor and form stable adducts with thiourea.
Physical properties
Pure adamantane is a colorless, crystalline solid with a characteristic camphor smell. It is practically insoluble in water, but readily soluble in nonpolar organic solvents.[24] Adamantane has an unusually high melting point for a hydrocarbon. At 270 °C, its melting point is much higher than other hydrocarbons with the same molecular weight, such as camphene (45 °C), limonene (−74 °C), ocimene (50 °C), terpinene (60 °C) or twistane (164 °C), or than a linear C10H22 hydrocarbon decane (−28 °C). However, adamantane slowly sublimes even at room temperature.[25] Adamantane can be distilled with water vapor.[23]
Structure

As deduced by electron diffraction and X-ray crystallography, the molecule has Td symmetry. The carbon–carbon bond lengths are 1.54 Å, almost identical to that of diamond. The carbon–hydrogen distances are 1.112 Å.[3]
At ambient conditions, adamantane crystallizes in a face-centered cubic structure (space group Fm3m, a = 9.426 ± 0.008 Å, four molecules in the unit cell) containing orientationally disordered adamantane molecules. This structure transforms into an ordered, primitive, tetragonal phase (a = 6.641 Å, c = 8.875 Å) with two molecules per cell, either upon cooling to 208 K or pressurizing to above 0.5 GPa.[8][25]
This phase transition is of the first order; it is accompanied by an anomaly in the heat capacity, elastic, and other properties. In particular, whereas adamantane molecules freely rotate in the cubic phase, they are frozen in the tetragonal one; the density increases stepwise from 1.08 to 1.18 g/cm3, and the entropy changes by a significant amount of 1594 J/(mol·K).[18]
Hardness
Elastic constants of adamantane were measured using large (centimeter-sized) single crystals and the ultrasonic echo technique. The principal value of the elasticity tensor, C11, was deduced as 7.52, 8.20, and 6.17 GPa for the <110>, <111>, and <100> crystalline directions.[19] For comparison, the corresponding values for crystalline diamond are 1161, 1174, and 1123 GPa.[26] The arrangement of carbon atoms is the same in adamantane and diamond;[27] however, in the adamantane solid, molecules do not form a covalent lattice as in diamond, but interact through weak van der Waals forces. As a result, adamantane crystals are very soft and plastic.[18][19][28]
Spectroscopy
The nuclear magnetic resonance (NMR) spectrum of adamantane consists of two poorly resolved signals, which correspond to sites 1 and 2 (see picture below). The 1H and 13C NMR chemical shifts are respectively 1.873 and 1.756 ppm and are 28.46 and 37.85 ppm.[29] The simplicity of these spectra is consistent with high molecular symmetry.
Mass spectra of adamantane and its derivatives are rather characteristic. The main peak at m/z = 136 corresponds to the C
10H+
16 ion. Its fragmentation results in weaker signals as m/z = 93, 80, 79, 67, 41 and 39.[3][29]
The infrared absorption spectrum of adamantane is relatively simple because of the high symmetry of the molecule. The main absorption bands and their assignment are given in the table:[3]
| Wavenumber, cm−1 | Assignment* |
|---|---|
| 444 | δ(CCC) |
| 638 | δ(CCC) |
| 798 | ν(C−C) |
| 970 | ρ(CH2), ν(C−C), δ(HCC) |
| 1103 | δ(HCC) |
| 1312 | ν(C−C), ω(CH2) |
| 1356 | δ(HCC), ω(CH2) |
| 1458 | δ(HCH) |
| 2850 | ν(C−H) in CH2 groups |
| 2910 | ν(C−H) in CH2 groups |
| 2930 | ν(C−H) in CH2 groups |
* Legends correspond to types of oscillations: δ – deformation, ν – stretching, ρ and ω – out of plane deformation vibrations of CH2 groups.
Optical activity
Adamantane derivatives with different substituents at every nodal carbon sites are chiral.[30] Such optical activity was described in adamantane in 1969 with the four different substituents being hydrogen, bromine, methyl, and carboxyl. The values of specific rotation are small and are usually within 1°.[31][32]
Nomenclature
Using the rules of systematic nomenclature, adamantane is called tricyclo[3.3.1.13,7]decane. However, IUPAC recommends using the name "adamantane".[1]

The adamantane molecule is composed of only carbon and hydrogen and has Td symmetry. Therefore, its 16 hydrogen and 10 carbon atoms can be described by only two sites, which are labeled in the figure as 1 (4 equivalent sites) and 2 (6 equivalent sites).
Structural relatives of adamantane are noradamantane and homoadamantane, which respectively contain one less and one more CH2 link than the adamantane.
The functional group derived from adamantane is adamantyl, formally named as 1-adamantyl or 2-adamantyl depending on which site is connected to the parent molecule. Adamantyl groups are a bulky pendant group used to improve the thermal and mechanical properties of polymers.[33][34]
Chemical properties
The chemistry of adamantane is dominated by the stability of the tertiary adamantanium cation, C10H+
15, itself isolable when treating 1‑fluoroadamantane with SbF5.[35][36]
Radical reactions of adamantane also occur preferentially at the bridgehead due to steric hindrance.[37]
Bridgehead reactions
Adamantanium's stability eases SN,1 substitution for 1‑adamantane derivatives. Thus 1‑bromoadamantane hydrolyzes in acid to 1‑hydroxyadamantane,[38] and the latter fluorolyzes to 1‑fluoroadamantane.[39] 1‑Hydroxyadamantane also alkylates activated arenes without a catalyst,[40] and the drug amantadine can be prepared in a Ritter reaction with acetonitrile:[41]

With unsubstituted adamantane, strong Brønsted acids and other comparable electrophiles abstract a hydride equivalent from a bridgehead. For example, nitrosyl salts[42] or an applied voltage[43] oxidize adamantane to the cation intermediate. Under most conditions, the resulting adamantanium cation then attacks nearby nucleophiles, for a net substitution. Ozonation gives the alcohol:[38]

Of course, adamantane also reacts with less exotic reagents!
Various brominators, including molecular bromine, react via an ionic pathway,[8] and similar reactions are possible with gaseous fluorine[44] (but chlorination is likely a radical reaction).[45] The reaction products depend on the conditions, especially the presence and type of catalysis.[22] Boiling adamantane with bromine results in a monosubstituted adamantane, 1-bromadamantane. Multiple substitution is achieved with a Lewis acid:[40]

The rate of bromination is accelerated upon addition of Lewis acids and is unchanged by irradiation or addition of free radicals.[8]
Adamantane undergoes Koch-Haaf carboxylation with formic acid to give 1-adamantanecarboxylic acid...[46]

...and a Scholl-type arylation with benzene and acidic clay.[47]
Nitration of adamantane is a difficult reaction characterized by moderate yields. Direct nitration occurs best in glacial acetic acid.[48]
Substitution at bridging carbons
Adamantane oxidizes in concentrated sulfuric acid to 2‑adamantanone:[49][50]

Even though the end product is unsubstituted at the bridgeheads, the latter are involved in the mechanism, which initially forms a bridgehead cation before undergoing intermolecular hydride transfer.[51]
Cations formed at a bridging carbon appear to equilibrate with a protoadamantyl cation: a ring expansion/contraction exchanges the roles of a neighboring bridgehead and the cationic center. Indeed, if an adamantane bridgehead carbon is substituted to stabilize a positive charge, then cation formation along the bridges causes a semipinacol rearrangement.[52] Such processes can be reversed to substitute at multiple bridging carbons at simultaneously.[53]
The carbonyl group of adamantanone is less reactive than most cyclic carbonyls, since (by symmetry) any adduct suffers from axial strain. Nevertheless, sufficiently reactive reagents (e.g. alkyllithiums instead of Grignard reagents) allow further functionalization at the bridging site.[54] For example, adamantanone is the starting compound for 2-adamantanecarbonitrile[55] and 2-methyl-adamantane.[56]
Uses
Adamantane itself enjoys few applications since it is merely an unfunctionalized hydrocarbon. It is used in some dry etching masks[57] and polymer formulations.
In solid-state NMR spectroscopy, adamantane is a common standard for chemical shift referencing.[58]
In dye lasers, adamantane may be used to extend the life of the gain medium; it cannot be photoionized under atmosphere because its absorption bands lie in the vacuum-ultraviolet region of the spectrum. Photoionization energies have been determined for adamantane as well as for several bigger diamondoids.[59]
In medicine
All medical applications known so far involve not pure adamantane, but its derivatives. The first adamantane derivative used as a drug was amantadine – first (1967) as an antiviral drug against various strains of influenza[60] and then to treat Parkinson's disease.[61][62] Other drugs among adamantane derivatives include adapalene, adapromine, bromantane (bromantan), carmantadine, chlodantane (chlodantan), dopamantine, gludantan (gludantane), hemantane (hymantane), idramantone (kemantane), memantine, nitromemantine rimantadine, saxagliptin, somantadine, tromantadine, and vildagliptin. Polymers of adamantane have been patented as antiviral agents against HIV.[63]
Influenza virus strains have developed drug resistance to amantadine and rimantadine, which are not effective against prevalent strains as of 2016.
-

-
Adapromine -

-
Bromantane -

-

-
Saxagliptin -
Tromantadine -
Vildagliptin
In designer drugs
Adamantane was recently identified as a key structural subunit in several synthetic cannabinoid designer drugs, namely AB-001 and SDB-001.[64]
Spacecraft propellant
Adamantane is an attractive candidate for propellant in Hall-effect thrusters because it ionizes easily, can be stored in solid form rather than a heavy pressure tank, and is relatively nontoxic.[65]
Potential technological applications
Some alkyl derivatives of adamantane have been used as a working fluid in hydraulic systems.[66] Adamantane-based polymers might find application for coatings of touchscreens,[67] and there are prospects for using adamantane and its homologues in nanotechnology. For example, the soft cage-like structure of adamantane solid allows incorporation of guest molecules, which can be released inside the human body upon breaking the matrix.[16][68] Adamantane could be used as molecular building blocks for self-assembly of molecular crystals.[69][70]
Adamantane analogues
Many molecules and ions adopt adamantane-like cage structures. Those include phosphorus trioxide P4O6, arsenic trioxide As4O6, phosphorus pentoxide P4O10 = (PO)4O6, phosphorus pentasulfide P4S10 = (PS)4S6, and hexamethylenetetramine C6N4H12 = N4(CH2)6.[71] Particularly notorious is tetramethylenedisulfotetramine, often shortened to "tetramine", a rodenticide banned in most countries for extreme toxicity to humans. The silicon analogue of adamantane, sila-adamantane, was synthesized in 2005.[72] Arsenicin A is a naturally occurring organoarsenic chemical isolated from the New Caledonian sea sponge Echinochalina bargibanti and is the first known heterocycle to contain multiple arsenic atoms.[73][74][75][76]
-
Adamantane -

-

-

-
Tetramethylenedisulfotetramine -

-
Arsenicin A
Conjoining adamantane cages produces higher diamondoids, such as diamantane (C14H20 – two fused adamantane cages), triamantane (C18H24), tetramantane (C22H28), pentamantane (C26H32), hexamantane (C26H30), etc. Their synthesis is similar to that of adamantane and like adamantane, they can also be extracted from petroleum, though at even much smaller yields.
The related dication of 1,3-didehydroadamantane also has elevated stability due to the phenomenon called "three-dimensional aromaticity"[77] or homoaromaticity.[78] This four-center two-electron bond involves one pair of electrons delocalized among the four bridgehead atoms:

References
- ^ a b Nomenclature of Organic Chemistry: IUPAC Recommendations and Preferred Names 2013 (Blue Book). Cambridge: The Royal Society of Chemistry. 2014. p. 169. doi:10.1039/9781849733069-FP001. ISBN 978-0-85404-182-4.
The retained names adamantane and cubane are used in general nomenclature and as preferred IUPAC names.
- ^ a b c d e Haynes WM, ed. (2016). CRC Handbook of Chemistry and Physics (97th ed.). CRC Press. p. 3.524. ISBN 978-1-4987-5429-3.
- ^ a b c d Bagrii EI (1989). Adamantanes: synthesis, properties, applications (in Russian). Nauka. pp. 5–57. ISBN 5-02-001382-X. Archived from the original on 8 March 2024. Retrieved 23 September 2016.
- ^ Senning A (2006). Elsevier's Dictionary of Chemoetymology. Elsevier. p. 6. ISBN 0-444-52239-5.
- ^ Decker H (1924). "Versammlung deutscher Naturforscher und Ärzte. Innsbruck, 21–27 September 1924". Angewandte Chemie (in German). 37 (41): 795. Bibcode:1924AngCh..37..781.. doi:10.1002/ange.19240374102.
- ^ Radcliffe MD, Gutierrez A, Blount JF, Mislow K (1984). "Structure of Meerwein's ester and of its benzene inclusion compound" (PDF). Journal of the American Chemical Society. 106 (3): 682–687. doi:10.1021/ja00315a037. Archived from the original (PDF) on 9 August 2011. Retrieved 26 May 2010.
- ^ Coffey S, Rodd S, eds. (1969). Chemistry of Carbon Compounds. Vol. 2. Part C. New York: Elsevier Publishing.
- ^ a b c d e f Fort RC Jr, Schleyers PV (1964). "Adamantane: Consequences of Diamondoid Structure". Chem. Rev. 64 (3): 277–300. doi:10.1021/cr60229a004.
- ^ Prelog V, Seiwerth R (1941). "Über die Synthese des Adamantans". Berichte (in German). 74 (10): 1644–1648. doi:10.1002/cber.19410741004.
- ^ Prelog V, Seiwerth R (1941). "Über eine neue, ergiebigere Darstellung des Adamantans". Berichte (in German). 74 (11): 1769–1772. doi:10.1002/cber.19410741109.
- ^ Stetter H, Bander O, Neumann W (1956). "Über Verbindungen mit Urotropin-Struktur, VIII. Mitteil.: Neue Wege der Adamantan-Synthese". Chem. Ber. (in German). 89 (8): 1922. doi:10.1002/cber.19560890820.
- ^ McKervey M (1980). "Synthetic approaches to large diamondoid hydrocarbons". Tetrahedron. 36 (8): 971–992. doi:10.1016/0040-4020(80)80050-0.
- ^ Schleyer PV (1957). "A Simple Preparation of Adamantane". J. Am. Chem. Soc. 79 (12): 3292. doi:10.1021/ja01569a086.
- ^ Schleyer PV, Donaldson MM, Nicholas RD, Cupas C (1973). "Adamantane". Organic Syntheses; Collected Volumes, vol. 5, p. 16.
- ^ Fort RC (1976). Adamantane. Studies in Organic Chemistry. Vol. 5. New York, NY: Marcel Dekker. p. 37.
- ^ a b Mansoori GA (2007). Molecular building blocks for nanotechnology: from diamondoids to nanoscale materials and applications. Springer. pp. 48–55. ISBN 978-0-387-39937-9.
- ^ Ley SV, Low CM (6 December 2012). Ultrasound in Synthesis. Springer. ISBN 978-3-642-74672-7. Archived from the original on 27 April 2023. Retrieved 14 March 2023.
- ^ a b c Windsor CG, Saunderson DH, Sherwood JN, Taylor D, et al. (1978). "Lattice dynamics of adamantane in the disordered phase". Journal of Physics C: Solid State Physics. 11 (9): 1741–1759. Bibcode:1978JPhC...11.1741W. doi:10.1088/0022-3719/11/9/013.
- ^ a b c Drabble JR, Husain AH (1980). "Elastic properties of adamantane single crystals". Journal of Physics C: Solid State Physics. 13 (8): 1377–1380. Bibcode:1980JPhC...13.1377D. doi:10.1088/0022-3719/13/8/008.
- ^ Landa S, Machácek V (1933). "Sur l'adamantane, nouvel hydrocarbure extrait de naphte". Collection of Czechoslovak Chemical Communications. 5: 1–5. doi:10.1135/cccc19330001.
- ^ Landa, S.; Machacek, V.; Mzourek, M.; and Landa, M. (1933) in Chim. Ind. (Paris), p. 506; abstracted in Chemical Abstracts, vol. 27, p. 5949.
- ^ a b c "Synthesis of adamantane" (in Russian). Archived from the original on 6 March 2012. Retrieved 11 December 2009. Special practical problem for the students of IV year. Department of Petroleum Chemistry and Organic Catalysis MSU.
- ^ a b Bagriy EI (1989). "Methods for hydrocarbon adamantane series". Adamantane: Synthesis, properties, application. Moscow: Nauka. pp. 58–123. ISBN 5-02-001382-X. Archived from the original on 8 March 2024. Retrieved 23 September 2016.
- ^ "Adamantane". Encyclopedia of Chemistry (in Russian). Archived from the original on 6 March 2012. Retrieved 11 December 2009.
- ^ a b Vijayakumar V, Garg AB, Godwal BK, Sikka SK (2001). "Pressure induced phase transitions and equation of state of adamantane". J. Phys.: Condens. Matter. 13 (9): 1961–1972. Bibcode:2001JPCM...13.1961V. doi:10.1088/0953-8984/13/9/318. S2CID 250802662.
- ^ Anastassakis E, Siakavellas M (1999). "Elastic and Lattice Dynamical Properties of Textured Diamond Films". Physica Status Solidi B. 215 (1): 189–192. Bibcode:1999PSSBR.215..189A. doi:10.1002/(SICI)1521-3951(199909)215:1<189::AID-PSSB189>3.0.CO;2-X.
- ^ Mansoori GA (2005). Principles of nanotechnology: molecular-based study of condensed matter in small systems. World Scientific. p. 12. ISBN 981-256-154-4.
- ^ Wright JD (1995). Molecular crystals. Cambridge University Press. p. 28. ISBN 0-521-47730-1.
- ^ a b NMR, IR and mass spectra of adamantane can be found in the SDBS database Archived 6 March 2023 at the Wayback Machine
- ^ March J (1987). Organic chemistry. Reactions, mechanisms, structure. Advanced course for universities and higher education chemical. Vol. 1. M.: World. p. 137.
- ^ Applequist J, Rivers P, Applequist DE (1969). "Theoretical and experimental studies of optically active bridgehead-substituted adamantanes and related compounds". J. Am. Chem. Soc. 91 (21): 5705–5711. doi:10.1021/ja01049a002.
- ^ Hamill H, McKervey MA (1969). "The resolution of 3-methyl-5-bromoadamantanecarboxylic acid". Chem. Comm. (15): 864. doi:10.1039/C2969000864a.
- ^ Acar HY, Jensen JJ, Thigpen K, McGowen JA, et al. (2000). "Evaluation of the Spacer Effect on Adamantane-Containing Vinyl Polymer T g's". Macromolecules. 33 (10): 3855–3859. Bibcode:2000MaMol..33.3855A. doi:10.1021/ma991621j.
- ^ Mathias LJ, Jensen J, Thigpen K, McGowen J, et al. (2001). "Copolymers of 4-adamantylphenyl methacrylate derivatives with methyl methacrylate and styrene". Polymer. 42 (15): 6527–6537. doi:10.1016/S0032-3861(01)00155-0.
- ^ Schleyer PR, Fort RC, Watts WE (1964). "Stable Carbonium Ions. VIII. The 1-Adamantyl Cation". J. Am. Chem. Soc. 86 (19): 4195–4197. doi:10.1021/ja01073a058.
- ^ Olah GA, Prakash GK, Shih JG, Krishnamurthy VV, et al. (1985). "Bridgehead adamantyl, diamantyl, and related cations and dications". J. Am. Chem. Soc. 107 (9): 2764–2772. doi:10.1021/ja00295a032.
- ^ Fort 1976, p. 236.
- ^ a b Cohen Z, Varkony H, Keinan E, Mazur Y (1979). "Tertiary alcohols from hydrocarbons by ozonation on silica gel: 1-adamantanol". Organic Syntheses. 59: 176. doi:10.15227/orgsyn.059.0176.
- ^ Olah GA, Welch JT, Vankar YD, Nojima M, et al. (1979). "Pyridinium poly (hydrogen fluoride): a convenient reagent for organic fluorination reactions". Journal of Organic Chemistry. 44 (22): 3872–3881. doi:10.1021/jo01336a027.
- ^ a b Nesmeyanov AN (1969). Basic organic chemistry (in Russian). Moscow: Khimiya. pp. 582–585.
- ^ Moiseev IK, Doroshenko RI, Ivanova VI (1976). "Synthesis of amantadine via the nitrate of 1-adamantanol". Pharmaceutical Chemistry Journal. 10 (4): 450–451. doi:10.1007/BF00757832. S2CID 26161105.
- ^ Olah GA, Shih JG, Singh BP, Gupta BG (1983). "Ionic fluorination of adamantane, diamantane, and triphenylmethane with nitrosyl tetrafluoroborate/pyridine polyhydrogen fluoride (PPHF)". Journal of Organic Chemistry. 48 (19): 3356–3358. doi:10.1021/jo00167a050.
- ^ Fort 1976, pp. 211, 214–215.
- ^ Rozen S, Gal C (1988). "Direct synthesis of fluoro-bicyclic compounds with fluorine". Journal of Organic Chemistry. 53 (12): 2803–2807. doi:10.1021/jo00247a026.
- ^ Fort 1976, pp. 250–252.
- ^ Koch H, Haaf W (1964). "1-Adamantanecarboxylic Acid". Organic Syntheses. 44: 1. doi:10.15227/orgsyn.044.0001.
- ^ Chalais S, Cornélis A, Gerstmans A, Kołodziejski W, et al. (1985). "Direct clay-catalyzed Friedel-Crafts arylation and chlorination of the hydrocarbon adamantane". Helvetica Chimica Acta. 68 (5): 1196–1203. doi:10.1002/hlca.19850680516.
- ^ Smith GW, Williams HD (1961). "Some Reactions of Adamantane and Adamantane Derivatives". J. Org. Chem. 26 (7): 2208. doi:10.1021/jo01351a011.
- ^ Geluk HW, Keizer VG (1973). "Adamantanone". Organic Syntheses. 53: 8. doi:10.15227/orgsyn.053.0008.
- ^ Fort 1976, p. 99.
- ^ Fort 1976, pp. 181–186.
- ^ Fort 1976, pp. 172–176.
- ^ Fort 1976, p. 179.
- ^ Fort 1976, pp. 99–102.
- ^ Oldenziel OH, Wildeman J, van Leusen AM. "2-Adamantanecarbonitrile". Organic Syntheses. Archived from the original on 10 July 2012. – originally published in Organic Syntheses, Coll. Vol. 6, p. 41 (1988); Vol. 57, p. 8 (1977).
- ^ Schleyer PR, Nicholas RD (1961). "The Preparation and Reactivity of 2-Substituted Derivatives of Adamantane". J. Am. Chem. Soc. 83 (1): 182–187. doi:10.1021/ja01462a036.
- ^ US 2001006752A1, Watanabe K; Kozawa M & Yano E et al., "Resist Composition and Pattern Forming Process", published 5 July 2001
- ^ Morcombe CR, Zilm KW (2003). "Chemical Shift referencing in MAS solid state NMR". J. Magn. Reson. 162 (2): 479–486. Bibcode:2003JMagR.162..479M. doi:10.1016/S1090-7807(03)00082-X. PMID 12810033.
- ^ Lenzke K, Landt L, Hoener M, Dahl JE, et al. (2007). "Experimental determination of the ionization potentials of the first five members of the nanodiamond series". J. Chem. Phys. 127 (8): 084320. Bibcode:2007JChPh.127h4320L. doi:10.1063/1.2773725. PMID 17764261. S2CID 3131583.
- ^ Maugh T (1979). "Panel urges wide use of antiviral drug". Science. 206 (4422): 1058–60. Bibcode:1979Sci...206.1058M. doi:10.1126/science.386515. PMID 386515.
- ^ Sonnberg L (2003). The Complete Pill Guide: Everything You Need to Know about Generic and Brand-Name Prescription Drugs. Barnes & Noble Publishing. p. 87. ISBN 0-7607-4208-1.
- ^ Blanpied TA, Clarke RJ, Johnson JW (2005). "Amantadine inhibits NMDA receptors by accelerating channel closure during channel block". Journal of Neuroscience. 25 (13): 3312–22. doi:10.1523/JNEUROSCI.4262-04.2005. PMC 6724906. PMID 15800186.
- ^ US 5880154A, Boukrinskaia AG; Serbin AV & Bogdan OP et al., "Polymeric Adamantane Analogues", published 9 March 1999
- ^ Banister SD, Wilkinson SM, Longworth M, Stuart J, et al. (2013). "The synthesis and pharmacological evaluation of adamantane-derived indoles: Novel cannabimimetic drugs of abuse". ACS Chemical Neuroscience. 4 (7): 1081–92. doi:10.1021/cn400035r. PMC 3715837. PMID 23551277.
- ^ "AIS-EHT1 Micro End Hall Thruster". Applied Ion Systems. Archived from the original on 28 October 2021. Retrieved 22 February 2021.
- ^ "Adamantane". Krugosvet (in Russian). Archived from the original on 6 November 2009. Retrieved 11 November 2009.
- ^ Jeong HY (2002). "Synthesis and characterization of the first adamantane-based poly (p-phenylenevinylene) derivative: an intelligent plastic for smart electronic displays". Thin Solid Films. 417 (1–2): 171–174. Bibcode:2002TSF...417..171J. doi:10.1016/S0040-6090(02)00569-2.
- ^ Ramezani H, Mansoori GA (2007). Diamondoids as Molecular Building Blocks for Nanotechnology. Topics in Applied Physics. Vol. 109. pp. 44–71. doi:10.1007/978-0-387-39938-6_4. ISBN 978-0-387-39937-9.
- ^ Markle RC (2000). "Molecular building blocks and development strategies for molecular nanotechnology". Nanotechnology. 11 (2): 89–99. Bibcode:2000Nanot..11...89M. doi:10.1088/0957-4484/11/2/309. S2CID 250914545.
- ^ Garcia JC, Justo JF, Machado WV, Assali LV (2009). "Functionalized adamantane: building blocks for nanostructure self-assembly". Phys. Rev. B. 80 (12) 125421. arXiv:1204.2884. Bibcode:2009PhRvB..80l5421G. doi:10.1103/PhysRevB.80.125421. S2CID 118828310.
- ^ Vitall JJ (1996). "The Chemistry of Inorganic and Organometallic Compounds with Adamantane-Like Structures". Polyhedron. 15 (10): 1585–1642. doi:10.1016/0277-5387(95)00340-1.
- ^ Fischer J, Baumgartner J, Marschner C (2005). "Synthesis and Structure of Sila-Adamantane". Science. 310 (5749): 825. doi:10.1126/science.1118981. PMID 16272116. S2CID 23192033.
- ^ Mancini I, Guella G, Frostin M, Hnawia E, et al. (2006). "On the First Polyarsenic Organic Compound from Nature: Arsenicin a from the New Caledonian Marine Sponge Echinochalina bargibanti". Chemistry: A European Journal. 12 (35): 8989–94. doi:10.1002/chem.200600783. PMID 17039560.
- ^ Tähtinen P, Saielli G, Guella G, Mancini I, et al. (2008). "Computational NMR Spectroscopy of Organoarsenicals and the Natural Polyarsenic Compound Arsenicin A". Chemistry: A European Journal. 14 (33): 10445–52. doi:10.1002/chem.200801272. PMID 18846604.
- ^ Guella G, Mancini I, Mariotto G, Rossi B, et al. (2009). "Vibrational analysis as a powerful tool in structure elucidation of polyarsenicals: a DFT-based investigation of arsenicin A". Physical Chemistry Chemical Physics. 11 (14): 2420–2427. Bibcode:2009PCCP...11.2420G. doi:10.1039/b816729j. PMID 19325974.
- ^ Lu D, Rae AD, Salem G, Weir ML, et al. (2010). "Arsenicin A, A Natural Polyarsenical: Synthesis and Crystal Structure". Organometallics. 29 (1): 32–33. doi:10.1021/om900998q. hdl:1885/58485. S2CID 96366756.
- ^ Smith W, Bochkov A, Caple R (2001). Organic Synthesis. Science and art. M.: World. p. 573. ISBN 5-03-003380-7.
- ^ Bremer M, von Ragué Schleyer P, Schötz K, Kausch M, et al. (1987). "Four-Center Two-Electron Bonding in a Tetrahedral Topology. Experimental Realization of Three-Dimensional Homoaromaticity in the 1,3-Dehydro-5,7-adamantanediyl Dication". Angewandte Chemie International Edition in English. 26 (8): 761–763. doi:10.1002/anie.198707611.



