Cyclen
![]() | |
| Names | |
|---|---|
| Preferred IUPAC name
1,4,7,10-Tetrazacyclododecane | |
| Other names
Tetraaza-12-crown-4
[12]aneN₄[1] | |
| Identifiers | |
CAS Number
|
|
3D model (JSmol)
|
|
| ChEBI | |
| ChEMBL | |
| ChemSpider | |
| ECHA InfoCard | 100.102.391 |
PubChem CID
|
|
| UNII | |
CompTox Dashboard (EPA)
|
|
InChI
| |
SMILES
| |
| Properties | |
Chemical formula
|
C8H20N4 |
| Molar mass | 172.276 g·mol−1 |
| Appearance | White solid |
| Melting point | 110–113 °C (230–235 °F; 383–386 K) |
Except where otherwise noted, data are given for materials in their standard state (at 25 °C [77 °F], 100 kPa).
Infobox references
| |
Cyclen (1,4,7,10-tetraazacyclododecane) is an aza-crown ether with the formula (CH2CH2NH)4. It is a white solid. It forms coordination complexes with metal cations and is used to synthesize the chelating agent DOTA which has several medical applications. Being structurally simple, symmetrical, and polyfunctional, cyclen has been widely investigated.[2]
Synthesis
Some syntheses exploit the Thorpe-Ingold effect to facilitate ring-formation. Illustrative is the reaction of the deprotonated tosylamides with ditosylates:[3]
- TsN(CH2CH2NTsNa)2 + TsN(CH2CH2OTs)2 → (TsNCH2CH2)4
The resulting macrocycle can be deprotected with strong acid. Base gives the tetramine.
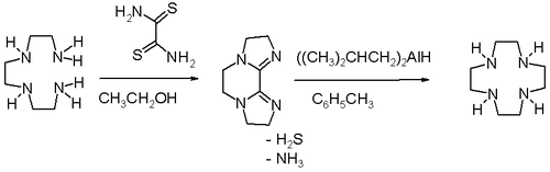
High dilution conditions result in a low reaction rate penalty and this disadvantage is removed in an alternative procedure starting from triethylenetetraamine and dithiooxamide to a bisamidine – also a bis(imidazoline) – followed by reduction and ring expansion with DIBAL.[4]
Coordination complexes

Coordination complexes of cyclen have been studied extensively.[6][7] With a 12-membered C8N4 ring, it tends to bind to four contiguous sites on octahedral metal centers, forming four 5-membered chelate rings (see figure). Cyclen also forms "bis complexes", e.g. of the type [Ln(cyclen)2]3+ where Ln = lanthanide.[8]
Related compounds
- The cyclam ligands are also tetraaza macrocycles but consist of a more flexible C10N4 ring.
References
- ^ International Union of Pure and Applied Chemistry (2005). Nomenclature of Inorganic Chemistry (IUPAC Recommendations 2005). Cambridge (UK): RSC–IUPAC. ISBN 0-85404-438-8. p. 261. Electronic version.
- ^ Lejault, Pauline; Duskova, Katerina; Bernhard, Claire; Valverde, Ibai E.; Romieu, Anthony; Monchaud, David (2019). "The Scope of Application of Macrocyclic Polyamines Beyond Metal Chelation" (PDF). European Journal of Organic Chemistry. 2019 (36): 6146–6157. doi:10.1002/ejoc.201900870. S2CID 201220297.
- ^ Atkins, T. J.; Richman, J. E.; Oettle, W. F. (1978). "1,4,7,10,13,16-Hexaazacyclooctadecane". Org. Synth. 58: 86. doi:10.15227/orgsyn.058.0086.
- ^ Reed, David P.; Weisman, Gary R. (2002). "1,4,7,10-Tetraazacyclododecane". Org. Synth. 78: 73. doi:10.15227/orgsyn.078.0073.
- ^ Scott, Brian; Brewer, Karen J.; Spreer, Larry O.; Craig, Carl A.; Otvos, John W.; Calvin, Melvin; Taylor, Scott (1990). "A Novel Conformation for a Coordinated Macrocycle: The Crystal Structure of [Ni(12-aneN4)(OH2)2](CIO4)2·H2O; (12-aneN4= 1,4,7,10-Tetraazacyclododecane)". Journal of Coordination Chemistry. 21 (4): 307–313. doi:10.1080/00958979009408193.
- ^ Gunnlaugsson, Thorfinnur; Leonard, Joseph P. (2005). "Responsive lanthanide luminescent cyclen complexes: From switching/Sensing to supramolecular architectures". Chemical Communications (25): 3114–3131. doi:10.1039/b418196d. PMID 15968347.
- ^ Joshi, Tanmaya; Graham, Bim; Spiccia, Leone (2015). "Macrocyclic Metal Complexes for Metalloenzyme Mimicry and Sensor Development". Accounts of Chemical Research. 48 (8): 2366–2379. doi:10.1021/acs.accounts.5b00142. PMID 26244894.
- ^ Barraza, Ramiro; Sertage, Alexander G.; Kajjam, Aravind B.; Ward, Cassandra L.; Lutter, Jacob C.; Schlegel, H. Bernhard; Allen, Matthew J. (2022). "Properties of Amine-Containing Ligands That Are Necessary for Visible-Light-Promoted Catalysis with Divalent Europium". Inorganic Chemistry. 61 (49): 19649–19657. doi:10.1021/acs.inorgchem.2c02911. PMC 9771976. PMID 36417708.
Further reading
- Suchý, M.; Hudson, R. H. E. (2008). "Synthetic Strategies Toward N-Functionalized Cyclens". Eur. J. Org. Chem. 2008 (29): 4847–4865. doi:10.1002/ejoc.200800636.

