Osmium tetroxide
| |||
![]() | |||
| Names | |||
|---|---|---|---|
| Preferred IUPAC name
Osmium tetraoxide | |||
| Systematic IUPAC name
Tetraoxoosmium | |||
| Other names
Osmium(VIII) oxide
| |||
| Identifiers | |||
CAS Number
|
|||
3D model (JSmol)
|
|||
| ChEBI | |||
| ChemSpider | |||
| ECHA InfoCard | 100.040.038 | ||
| EC Number |
| ||
| MeSH | Osmium+tetroxide | ||
PubChem CID
|
|||
| RTECS number |
| ||
| UNII | |||
| UN number | UN 2471 | ||
CompTox Dashboard (EPA)
|
|||
InChI
| |||
SMILES
| |||
| Properties | |||
Chemical formula
|
OsO4 | ||
| Molar mass | 254.23 g/mol | ||
| Appearance | White volatile solid | ||
| Odor | Acrid, chlorine-like | ||
| Density | 4.9 g/cm3[1] | ||
| Melting point | 40.25 °C (104.45 °F; 313.40 K) | ||
| Boiling point | 129.7[2] °C (265.5 °F; 402.8 K) | ||
Solubility in water
|
5.70 g/100 mL (10 °C) 6.23 g/100 mL (25 °C) | ||
| Solubility | Soluble in most organic solvents, ammonium hydroxide, phosphorus oxychloride | ||
| Solubility in CCl4 | 375 g/100 mL | ||
| Vapor pressure | 7 mmHg (20 °C)[3] | ||
| Structure[4] | |||
Crystal structure
|
Monoclinic, mS20 | ||
Space group
|
C2/c | ||
Lattice constant
|
a = 9.379 Å, b = 4.515 Å, c = 8.630 Å α = 90°, β = 116.58°, γ = 90°
| ||
Lattice volume (V)
|
326.8 Å3 | ||
Formula units (Z)
|
4 | ||
Molecular shape
|
tetrahedral | ||
| Hazards | |||
| GHS labelling: | |||
Pictograms
|
![]()
| ||
Signal word
|
Danger | ||
Hazard statements
|
H300, H310, H314, H330 | ||
Precautionary statements
|
P260, P262, P264, P270, P271, P280, P284, P301+P310, P301+P330+P331, P302+P350, P303+P361+P353, P304+P340, P305+P351+P338, P310, P320, P321, P330, P361, P363, P403+P233, P405, P501 | ||
| NFPA 704 (fire diamond) | ![]()
3
0
1 OX | ||
| Lethal dose or concentration (LD, LC): | |||
LCLo (lowest published)
|
1316 mg/m3 (rabbit, 30 min) 423 mg/m3 (rat, 4 hr) 423 mg/m3 (mouse, 4 hr)[5] | ||
| NIOSH (US health exposure limits): | |||
PEL (Permissible)
|
TWA 0.002 mg/m3[3] | ||
REL (Recommended)
|
TWA 0.002 mg/m3 (0.0002 ppm) ST 0.006 mg/m3 (0.0006 ppm)[3] | ||
IDLH (Immediate danger)
|
1 mg/m3[3] | ||
| Safety data sheet (SDS) | ICSC 0528 | ||
| Related compounds | |||
Other cations
|
Ruthenium tetroxide Hassium tetroxide | ||
Related osmium oxides
|
Osmium(IV) oxide | ||
Except where otherwise noted, data are given for materials in their standard state (at 25 °C [77 °F], 100 kPa).
Infobox references
| |||
Osmium tetroxide (also osmium(VIII) oxide) is the chemical compound with the formula OsO4. The compound is noteworthy for its many uses, despite its toxicity and the rarity of osmium. It also has a number of unusual properties, one being that the solid is volatile. The compound is colourless, but most samples appear yellow.[6] This is most likely due to the presence of the impurity osmium dioxide (OsO2), which is yellow-brown in colour.[7] In biology, its property of binding to lipids has made it a widely used stain in electron microscopy.
Physical properties

Osmium(VIII) oxide forms monoclinic crystals.[4][8] It has a characteristic acrid chlorine-like odor. The element name osmium is derived from osme, Greek for odor. OsO4 is volatile: it sublimes at room temperature. It is soluble in a wide range of organic solvents. It is moderately soluble in water, with which it reacts reversibly to form osmic acid (see below).[9] Pure osmium(VIII) oxide is probably colourless;[10] it has been suggested that its yellow hue is attributable due to osmium dioxide (OsO2) impurities.[11] The osmium tetroxide molecule is tetrahedral and therefore nonpolar. This nonpolarity helps OsO4 penetrate charged cell membranes.
Structure and electron configuration
The osmium of OsO4 has an oxidation number of VIII; however, the metal does not possess a corresponding 8+ charge as the bonding in the compound is largely covalent in character (the ionization energy required to produce a formal 8+ charge also far exceeds the energies available in normal chemical reactions). The osmium atom exhibits double bonds to the four oxide ligands, resulting in a 16 electron complex. OsO4 is isoelectronic with permanganate and chromate ions.
Synthesis
OsO4 is formed slowly when osmium powder reacts with O2 at ambient temperature. Reaction of bulk solid requires heating to 400 °C.[12]
- Os + 2 O2 → OsO4
Reactions
Oxidation of alkenes
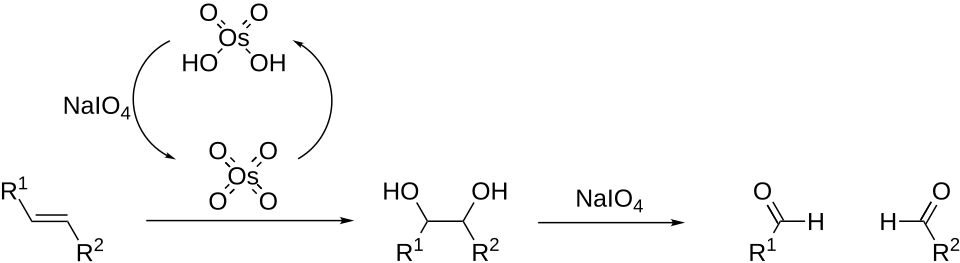
Alkenes add to OsO4 to give diolate species that hydrolyze to cis-diols. The net process is called dihydroxylation. This proceeds via a [3 + 2] cycloaddition reaction between the OsO4 and alkene to form an intermediate osmate ester that rapidly hydrolyses to yield the vicinal diol. As the oxygen atoms are added in a concerted step, the resulting stereochemistry is cis.

Idealized depiction of the cis-dihydroxylation of alkenes.
OsO4 is expensive and highly toxic, making it an unappealing reagent to use in stoichiometric amounts. However, its reactions are made catalytic by adding reoxidants to reoxidise the Os(VI) by-product back to Os(VIII). Typical reagents include H2O2 (Milas hydroxylation), N-methylmorpholine N-oxide (Upjohn dihydroxylation) and K3Fe(CN)6/water. These reoxidants do not react with the alkenes on their own. Other osmium compounds can be used as catalysts, including osmate(VI) salts ([OsO2(OH)4)]2−, and osmium trichloride hydrate (OsCl3·xH2O). These species oxidise to osmium(VIII) in the presence of such oxidants.[13]
Lewis bases such as tertiary amines and pyridines increase the rate of dihydroxylation. This "ligand-acceleration" arises via the formation of adduct OsO4L, which adds more rapidly to the alkene. If the amine is chiral, then the dihydroxylation can proceed with enantioselectivity (see Sharpless asymmetric dihydroxylation).[14] OsO4 does not react with most carbohydrates.[15]
The process can be extended to give two aldehydes in the Lemieux–Johnson oxidation, which uses periodate to achieve diol cleavage and to regenerate the catalytic loading of OsO4. This process is equivalent to that of ozonolysis.
Coordination chemistry

OsO4 is a Lewis acid and a mild oxidant. It reacts with alkaline aqueous solution to give the perosmate anion OsO
4(OH)2−
2.[17] This species is easily reduced to osmate anion, OsO
2(OH)2−
4.
When the Lewis base is an amine, adducts are also formed. Thus OsO4 can be stored in the form of osmeth, in which OsO4 is complexed with hexamine. Osmeth can be dissolved in tetrahydrofuran (THF) and diluted in an aqueous buffer solution to make a dilute (0.25%) working solution of OsO4.[18]
With tert-BuNH2, the imido derivative is produced:
- OsO4 + Me3CNH2 → OsO3(NCMe3) + H2O
Similarly, with NH3 one obtains the nitrido complex:
- OsO4 + NH3 + KOH → K[OsO3N] + 2 H2O
The [OsO3N]− anion is isoelectronic and isostructural with OsO4.
OsO4 is very soluble in tert-butyl alcohol. In solution, it is readily reduced by hydrogen to osmium metal. The suspended osmium metal can be used to catalytically hydrogenate a wide variety of organic chemicals containing double or triple bonds.
- OsO4 + 4 H2 → Os + 4 H2O
OsO4 undergoes "reductive carbonylation" with carbon monoxide in methanol at 400 K and 200 bar to produce the triangular cluster Os3(CO)12:
- 3 OsO4 + 24 CO → Os3(CO)12 + 12 CO2[12]
Oxofluorides
Osmium forms several oxofluorides, all of which are very sensitive to moisture. Purple cis-OsO2F4 forms at 77 K in an anhydrous HF solution:[19]
- OsO4 + 2 KrF2 → cis-OsO2F4 + 2 Kr + O2
OsO4 also reacts with F2 to form yellow OsO3F2:[20]
- 2 OsO4 + 2 F2 → 2 OsO3F2 + O2
OsO4 reacts with one equivalent of [Me4N]F at 298 K and 2 equivalents at 253 K:[12]
- OsO4 + [Me4N]F → [Me4N][OsO4F]
- OsO4 + 2 [Me4N]F → [Me4N]2[cis-OsO4F2]
Uses
Organic synthesis
In organic synthesis OsO4 is widely used to oxidize alkenes to the vicinal diols, adding two hydroxyl groups at the same side (syn addition). See reaction and mechanism above. This reaction has been made both catalytic (Upjohn dihydroxylation) and asymmetric (Sharpless asymmetric dihydroxylation).
Osmium(VIII) oxide is also used in catalytic amounts in the Sharpless oxyamination to give vicinal amino-alcohols.
In combination with sodium periodate, OsO4 is used for the oxidative cleavage of alkenes (Lemieux-Johnson oxidation) when the periodate serves both to cleave the diol formed by dihydroxylation, and to regenerate OsO4. The net transformation is identical to that produced by ozonolysis. Below an example from the total synthesis of Isosteviol.[21]
Biological staining
OsO4 is a widely used staining agent used in transmission electron microscopy (TEM) to provide contrast to the image.[22] This staining method may also be known in the literature as the OTO[23][24] (osmium-thiocarbohydrazide-osmium) method, or osmium impregnation[25] technique or simply as osmium staining. As a lipid stain, it is also useful in scanning electron microscopy (SEM) as an alternative to sputter coating. It embeds a heavy metal directly into cell membranes, creating a high electron scattering rate without the need for coating the membrane with a layer of metal, which can obscure details of the cell membrane. In the staining of the plasma membrane, osmium(VIII) oxide binds phospholipid head regions, thus creating contrast with the neighbouring protoplasm (cytoplasm). Additionally, osmium(VIII) oxide is also used for fixing biological samples in conjunction with HgCl2. Its rapid killing abilities are used to quickly kill live specimens such as protozoa. OsO4 stabilizes many proteins by transforming them into gels without destroying structural features. Tissue proteins that are stabilized by OsO4 are not coagulated by alcohols during dehydration.[15] Osmium(VIII) oxide is also used as a stain for lipids in optical microscopy.[26] OsO4 also stains the human cornea (see safety considerations).

Polymer staining
It is also used to stain copolymers preferentially, the best known example being block copolymers where one phase can be stained so as to show the microstructure of the material. For example, styrene-butadiene block copolymers have a central polybutadiene chain with polystyrene end caps. When treated with OsO4, the butadiene matrix reacts preferentially and so absorbs the oxide. The presence of a heavy metal is sufficient to block the electron beam, so the polystyrene domains are seen clearly in thin films in TEM.
Osmium ore refining
OsO4 is an intermediate in the extraction of osmium from its ores. Osmium-containing residues are treated with sodium peroxide (Na2O2) forming Na2[OsO4(OH)2], which is soluble. When exposed to chlorine, this salt gives OsO4. In the final stages of refining, crude OsO4 is dissolved in alcoholic NaOH forming Na2[OsO2(OH)4], which, when treated with NH4Cl, to give [OsO2(NH4)3]Cl2. This salt is reduced under hydrogen to give osmium.[9]
Buckminsterfullerene adduct
OsO4 allowed for the confirmation of the soccer ball model of buckminsterfullerene, a 60-atom carbon allotrope. The adduct, formed from a derivative of OsO4, was C60(OsO4)(4-tert-butylpyridine)2. The adduct broke the fullerene's symmetry, allowing for crystallization and confirmation of the structure of C60 by X-ray crystallography.[27]
Medicine
The only known clinical use of osmium tetroxide is for the treatment of arthritis.[28] The lack of reports of long-term side effects from the local administration of osmium tetroxide (OsO4) suggest that osmium itself can be biocompatible, though this depends on the osmium compound administered.
Safety considerations

OsO4 will irreversibly stain the human cornea, which can lead to blindness. The permissible exposure limit for osmium(VIII) oxide (8 hour time-weighted average) is 2 μg/m3.[8] Osmium(VIII) oxide can penetrate plastics and food packaging, and therefore must be stored in glass under refrigeration.[15]
References
- ^ "Osmium tetroxide ICSC: 0528". InChem.
- ^ Koda, Yoshio (1986). "Boiling Points and Ideal Solutions of Ruthenium and Osmium Tetraoxides". Journal of the Chemical Society, Chemical Communications. 1986 (17): 1347–1348. doi:10.1039/C39860001347.
- ^ a b c d NIOSH Pocket Guide to Chemical Hazards. "#0473". National Institute for Occupational Safety and Health (NIOSH).
- ^ a b c Krebs, B.; Hasse, K. D. (1976). "Refinements of the Crystal Structures of KTcO4, KReO4 and OsO4. The Bond Lengths in Tetrahedral Oxo-Anions and Oxides of d0 Transition Metals". Acta Crystallographica B. 32 (5): 1334–1337. Bibcode:1976AcCrB..32.1334K. doi:10.1107/S056774087600530X.
- ^ "Osmium tetroxide (as Os)". Immediately Dangerous to Life or Health Concentrations. National Institute for Occupational Safety and Health.
- ^ Girolami, Gregory (2012). "Osmium weighs". Nature Chemistry. 4 (11): 954. Bibcode:2012NatCh...4..954G. doi:10.1038/nchem.1479. PMID 23089872.
- ^ Cotton and Wilkinson, Advanced Inorganic Chemistry, p.1002
- ^ a b "Osmium tetroxide (as Os)". Documentation for Immediately Dangerous to Life or Health Concentrations (IDLHs). Centers for Disease Control. 2 November 2018.
- ^ a b Thompson, M. "Osmium tetroxide (OsO4)". Bristol University. Retrieved 2012-04-07.
- ^ Butler, I. S.; Harrod, J. F. (1989). Inorganic Chemistry: Principles and Applications. Benjamin / Cummings. p. 343. ISBN 978-0-8053-0247-9. Retrieved 2012-04-07.
- ^ Cotton, F. A. (2007). Advanced Inorganic Chemistry (6th ed.). New Delhi, India: J. Wiley. p. 1002. ISBN 978-81-265-1338-3.
- ^ a b c Housecroft, C. E.; Sharpe, A. G. (2004). Inorganic Chemistry (2nd ed.). Prentice Hall. pp. 671–673, 710. ISBN 978-0-13-039913-7.
- ^ Ogino, Y.; Chen, H.; Kwong, H.-L.; Sharpless, K. B. (1991). "On the timing of hydrolysis / reoxidation in the osmium-catalyzed asymmetric dihydroxylation of olefins using potassium ferricyanide as the reoxidant". Tetrahedron Letters. 32 (32): 3965–3968. doi:10.1016/0040-4039(91)80601-2.
- ^ Berrisford, D. J.; Bolm, C.; Sharpless, K. B. (1995). "Ligand-Accelerated Catalysis". Angewandte Chemie International Edition. 34 (10): 1059–1070. doi:10.1002/anie.199510591.
- ^ a b c Hayat, M. A. (2000). Principles and Techniques of Electron Microscopy: Biological Applications. Cambridge University Press. pp. 45–61. ISBN 0-521-63287-0.
- ^ Brian S. McGilligan; John Arnold; Geoffrey Wilkinson; Bilquis Hussain-Bates; Michael B. Hursthouse (1990). "Reactions of Dimesityldioxo-Osmium(VI) with Donor Ligands; Reactions of MO2(2,4,6-Me3C6H2)2, M = Os or Re, with Nitrogen Oxides. X-Ray Crystal Structures of [2,4,6-Me3C6H2N2]+[OsO2(ONO2)2(2,4,6-Me3C6H2)]–, OsO(NBut)(2,4,6-Me3C6H2)2, OsO3(NBut), and ReO3[N(2,4,6-Me3C6H2)2]". J. Chem. Soc., Dalton Trans. (8): 2465–2475. doi:10.1039/DT9900002465.
- ^ Greenwood, Norman N.; Earnshaw, Alan (1997). Chemistry of the Elements (2nd ed.). Butterworth-Heinemann. doi:10.1016/C2009-0-30414-6. ISBN 978-0-08-037941-8.
- ^ Kiernan, J. A. "Re: "Disposal" of Osmium Tetroxide "Waste"". Department of Anatomy & Cell Biology, The University of Western Ontario. Archived from the original on 2011-07-11. Retrieved 2006-04-22.
- ^ Christe, K. O.; Dixon, D. A.; Mack, H. G.; Oberhammer, H.; Pagelot, A.; Sanders, J. C. P.; Schrobilgen, G. J. (1993). "Osmium tetrafluoride dioxide, cis-OsO2F4". Journal of the American Chemical Society. 115 (24): 11279–11284. Bibcode:1993JAChS.11511279C. doi:10.1021/ja00077a029.
- ^ Cotton, S. A. (1997). Chemistry of Precious Metals. London: Chapman and Hall. ISBN 0-7514-0413-6.
- ^ Snider, B. B.; Kiselgof, J. Y.; Foxman, B. M. (1998). "Total Syntheses of (±)-Isosteviol and (±)-Beyer-15-ene-3β,19-diol by Manganese(III)-Based Oxidative Quadruple Free-Radical Cyclization". Journal of Organic Chemistry. 63 (22): 7945–7952. doi:10.1021/jo981238x.
- ^ Bozzola, J. J.; Russell, L. D. (1999). "Specimen Preparation for Transmission Electron Microscopy". Electron Microscopy: Principles and Techniques for Biologists. Sudbury, MA: Jones and Bartlett. pp. 21–31. ISBN 978-0-7637-0192-5.
- ^ Seligman, Arnold M.; Wasserkrug, Hannah L.; Hanker, Jacob S. (1966-08-01). "A new staining method (OTO) for enhancing contrast of lipid--containing membranes and droplets in osmium tetroxide--fixed tissue with osmiophilic thiocarbohydrazide(TCH)". The Journal of Cell Biology. 30 (2): 424–432. doi:10.1083/jcb.30.2.424. ISSN 0021-9525. PMC 2106998. PMID 4165523.
- ^ Unger, Ann-Katrin; Neujahr, Ralph; Hawes, Chris; Hummel, Eric (2020), Wacker, Irene; Hummel, Eric; Burgold, Steffen; Schröder, Rasmus (eds.), "Improving Serial Block Face SEM by Focal Charge Compensation", Volume Microscopy : Multiscale Imaging with Photons, Electrons, and Ions, Neuromethods, vol. 155, New York, NY: Springer US, pp. 165–178, doi:10.1007/978-1-0716-0691-9_9, ISBN 978-1-0716-0691-9, S2CID 226563386
{{citation}}: CS1 maint: work parameter with ISBN (link) - ^ Tapia, Juan C.; Kasthuri, Narayanan; Hayworth, Kenneth; Schalek, Richard; Lichtman, Jeff W.; Smith, Stephen J; Buchanan, JoAnn (2012-01-12). "High contrast en bloc staining of neuronal tissue for field emission scanning electron microscopy". Nature Protocols. 7 (2): 193–206. doi:10.1038/nprot.2011.439. ISSN 1754-2189. PMC 3701260. PMID 22240582.
- ^ Di Scipio, F.; Raimondo, S.; Tos, P.; Geuna, S. (2008). "A simple protocol for paraffin-embedded myelin sheath staining with osmium(VIII) oxide for light microscope observation". Microscopy Research and Technique. 71 (7): 497–502. doi:10.1002/jemt.20577. PMID 18320578. S2CID 9404999.
- ^ Hawkins, J. M.; Meyer, A.; Lewis, T. A.; Loren, S.; Hollander, F. J. (1991). "Crystal Structure of Osmylated C60: Confirmation of the Soccer Ball Framework". Science. 252 (5003): 312–313. Bibcode:1991Sci...252..312H. doi:10.1126/science.252.5003.312. PMID 17769278. S2CID 36255748.
- ^ Sheppeard, H.; D. J. Ward (1980). "Intra-articular osmic acid in rheumatoid arthritis: five years' experience". Rheumatology. 19 (1): 25–29. doi:10.1093/rheumatology/19.1.25. PMID 7361025.






