Protocatechuic acid

Protocatechuic acid
Names
Preferred IUPAC name
3,4-Dihydroxybenzoic acid
Other names
3,4-Dihydroxybenzoic acid
PCA
Protocatechuate
Identifiers
CAS Number
3D model (JSmol)
ChEBI
ChEMBL
ChemSpider
DrugBank
ECHA InfoCard 100.002.509
EC Number
  • 202-760-0
KEGG
PubChem CID
RTECS number
  • UL0560000
UNII
CompTox Dashboard (EPA)
InChI
  • InChI=1S/C7H6O4/c8-5-2-1-4(7(10)11)3-6(5)9/h1-3,8-9H,(H,10,11) checkY
    Key: YQUVCSBJEUQKSH-UHFFFAOYSA-N checkY
SMILES
  • C1=CC(=C(C=C1C(=O)O)O)O
Properties[2]
Chemical formula
C7H6O4
Molar mass 154.121 g·mol−1
Appearance light brown solid
Density 1.524 g/cm3 (4 °C (39 °F; 277 K))
Melting point 202 °C (396 °F; 475 K)
Solubility in water
  • 18 g/L (14 °C (57 °F; 287 K))
  • 271 g/L (80 °C (176 °F; 353 K))[1]: 5–148 
Solubility in ethanol very soluble
Solubility in diethyl ether soluble
Acidity (pKa)
  • 4.48
  • 8.83
  • 12.6[1]: 5–91 
Hazards
NFPA 704 (fire diamond)
NFPA 704 four-colored diamond
2
0
0
Safety data sheet (SDS) MSDS
Related compounds
Related compounds
Except where otherwise noted, data are given for materials in their standard state (at 25 °C [77 °F], 100 kPa).
checkY verify (what is checkY☒N ?)
Infobox references
UV visible spectrum of protocatechuic acid

Protocatechuic acid (PCA) is a dihydroxybenzoic acid, a type of phenolic acid. It is a major metabolite of antioxidant polyphenols found in green tea. It has mixed effects on normal and cancer cells in in vitro and in vivo studies.[3] It is produced commercially from vanillin.[4]

Biological effects

Protocatechuic acid (PCA) is antioxidant and anti-inflammatory. PCA extracted from Hibiscus sabdariffa protected against chemically induced liver toxicity in vivo. In vitro testing documented antioxidant and anti-inflammatory activity of PCA, while liver protection in vivo was measured by chemical markers and histological assessment.[5]

PCA has been reported to induce apoptosis of human leukemia cells, as well as malignant HSG1 cells taken from human oral cavities,[6] but PCA was found to have mixed effects on TPA-induced mouse skin tumours. Depending on the amount of PCA and the time before application, PCA could reduce or enhance tumour growth.[7] Similarly, PCA was reported to increase proliferation and inhibit apoptosis of neural stem cells.[8] In an in vitro model using HL-60 leukemia cells, protocatechuic acid showed an antigenotoxic effect and tumoricidal activity.[9] In two preclinical investigations, protocatechuic acid from Hibiscus sabdariffa showed an excellent ability to effectively inhibit the replication of herpes simplex virus type 2[10] and to potently deactivate the catalytic activity of urease.[11]

Occurrence in nature

Protocatechuic acid can be isolated from the stem bark of Boswellia dalzielii.[12] and from leaves of Diospyros melanoxylon.[13]

The hardening of the protein component of insect cuticle has been shown to be due to the tanning action of an agent produced by oxidation of a phenolic substance. In the analogous hardening of the cockroach ootheca, the phenolic substance concerned is protocatechuic acid.[14]

In foods

Açaí oil, obtained from the fruit of the açaí palm (Euterpe oleracea), is rich in protocatechuic acid (630±36 mg/kg).[15] Protocatechuic acid also exists in the skins of some strains of onion as an antifungal mechanism, increasing endogenous resistance against smudge fungus. It is also found in Allium cepa (17,540 ppm).[16]

PCA occurs in roselle (Hibiscus sabdariffa), which is used worldwide as a food and beverage.[5]

Protocatechuic acid is also found in mushrooms such as Agaricus bisporus[17] or Phellinus linteus.[18]

PCA is regarded as an active component in traditional Chinese herbal medicine such as Stenoloma chusanum (L.) Ching, Ilex chinensis Sims, Cibotium barometz (L.) J.Sm.[19]

Metabolism

Protocatechuic acid is one of the main catechins metabolites found in humans after consumption of green tea infusions.[20]

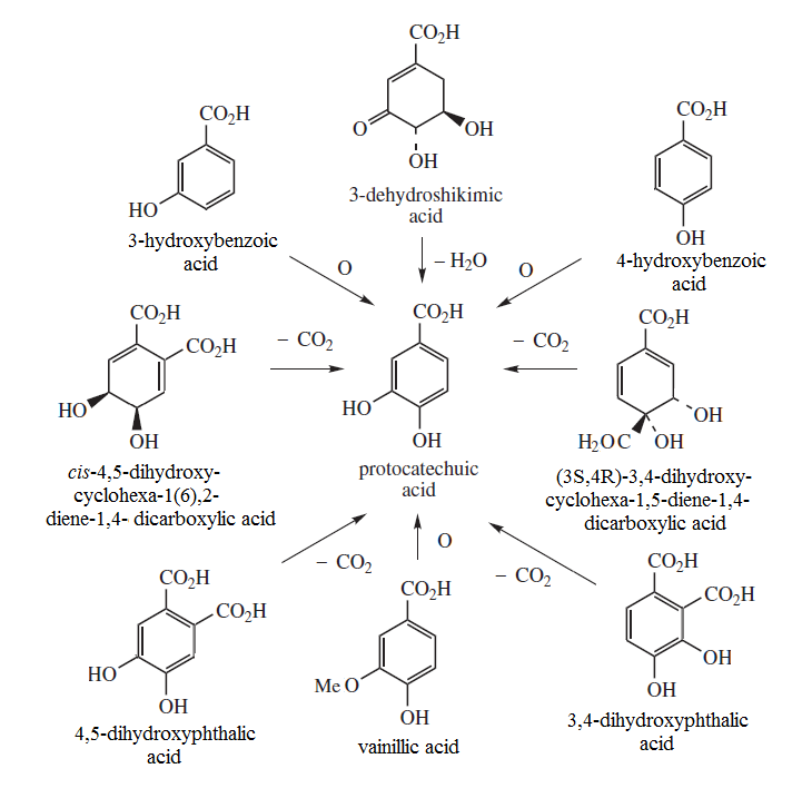
Enzymes

Biosynthesis enzymes
  • 3-dehydroshikimate dehydratase
  • (3S,4R)-3,4-dihydroxycyclohexa-1,5-diene-1,4-dicarboxylate dehydrogenase
  • terephthalate 1,2-cis-dihydrodiol dehydrogenase
  • 3-hydroxybenzoate 4-monooxygenase
  • 4-hydroxybenzoate 3-monooxygenase (NAD(P)H)
  • 4-sulfobenzoate 3,4-dioxygenase
  • vanillate monooxygenase
  • 3,4-dihydroxyphthalate decarboxylase
  • 4,5-dihydroxyphthalate decarboxylase
Protocatechuic acid biosynthesis
Degradation enzymes
  • The enzyme protocatechuate decarboxylase uses 3,4-dihydroxybenzoate to produce catechol and CO2.
  • The enzyme protocatechuate 3,4-dioxygenase uses 3,4-dihydroxybenzoate and oxygen to produce 3-carboxy-cis,cis-muconate.[21]
 
O2
 
Rightward reaction arrow with minor substrate(s) from top left
 
 
 
2D representation of the chemical structure of 3-Carboxy-cis,cis-muconic acid.
3-carboxy-cis,cis-muconic acid

References

  1. ^ a b Haynes, William M., ed. (2016). "5". CRC Handbook of Chemistry and Physics (PDF) (97th ed.). CRC Press. ISBN 9781498754293.
  2. ^ Haynes, William M., ed. (2016). "3". CRC Handbook of Chemistry and Physics (PDF) (97th ed.). CRC Press. p. 190. ISBN 9781498754293.
  3. ^ Lin, H.-H.; Chen, J.-H.; Huang, C.-C.; Wang, C.-J. (June 2007). "Apoptotic effect of 3,4-dihydroxybenzoic acid on human gastric carcinoma cells involving JNK/p38 MAPK signaling activation". International Journal of Cancer. 120 (11): 2306–2316. doi:10.1002/ijc.22571. PMID 17304508.
  4. ^ Ritzer, Edwin; Sundermann, Rudolf (2000). "Hydroxycarboxylic Acids, Aromatic". Ullmann's Encyclopedia of Industrial Chemistry. Weinheim: Wiley-VCH. doi:10.1002/14356007.a13_519. ISBN 3527306730.
  5. ^ a b Liu, C.-L.; Wang, J.-M.; Chu, C.-Y.; Cheng, M.-T.; Tseng, T.-H. (2002). "In vivo protective effect of protocatechuic acid on tert-butyl hydroperoxide-induced rat hepatotoxicity". Food and Chemical Toxicology. 40 (5): 635–41. doi:10.1016/s0278-6915(02)00002-9. PMID 11955669.
  6. ^ Babich, H.; Sedletcaia, A.; Kenigsberg, B. (November 2002). "In vitro cytotoxicity of protocatechuic acid to cultured human cells from oral tissue: involvement in oxidative stress". Pharmacology & Toxicology. 91 (5): 245–253. doi:10.1034/j.1600-0773.2002.910505.x. PMID 12570031.
  7. ^ Nakamura, Y.; Torikai, K.; Ohto, Y.; Murakami, A.; Tanaka, T.; Ohigashi, H. (October 2000). "A simple phenolic antioxidant protocatechuic acid enhances tumor promotion and oxidative stress in female ICR mouse skin: dose- and timing-dependent enhancement and involvement of bioactivation by tyrosinase". Carcinogenesis. 21 (10): 1899–1907. doi:10.1093/carcin/21.10.1899. PMID 11023549.
  8. ^ Guan, S.; Ge, D.; Liu, T. Q.; Ma, X.-H.; Cui, Z.-F. (March 2009). "Protocatechuic acid promotes cell proliferation and reduces basal apoptosis in cultured neural stem cells". Toxicology in Vitro. 23 (2): 201–208. Bibcode:2009ToxVi..23..201G. doi:10.1016/j.tiv.2008.11.008. PMID 19095056.
  9. ^ Anter, J.; Romero Jiménez, M.; Fernández Bedmar, Z.; Villatoro Pulido, M.; Analla, M.; Alonso Moraga, A.; Muñoz Serrano, A. (March 2011). "Antigenotoxicity, cytotoxicity, and apoptosis induction by apigenin, bisabolol, and protocatechuic acid". Journal of Medicinal Food. 14 (3): 276–283. doi:10.1089/jmf.2010.0139. PMID 21182433.
  10. ^ Hassan, S. T. S.; Švajdlenka, E.; Berchová-Bímová, K. (April 2017). "Hibiscus sabdariffa L. and its bioactive constituents exhibit antiviral activity against HSV-2 and anti-enzymatic properties against urease by an ESI–MS based assay". Molecules. 22 (5): 722. doi:10.3390/molecules22050722. PMC 6154344. PMID 28468298.
  11. ^ Hassan, S. T. S.; Švajdlenka, E. (October 2017). "Biological evaluation and molecular docking of protocatechuic acid from Hibiscus sabdariffa L. as a potent urease inhibitor by an ESI–MS based method". Molecules. 22 (10): 1696. doi:10.3390/molecules22101696. PMC 6151788. PMID 29019930.
  12. ^ Alemika, T. E.; Onawunmi, G. O.; Olugbade, T. O. (2006). "Antibacterial phenolics from Boswellia dalzielii". Nigerian Journal of Natural Products and Medicines. 10: 108–110. Archived from the original on 2013-07-30. Retrieved 2013-07-30.
  13. ^ Mallavadhani, U. V.; Mahapatra, A. (2005). "A new aurone and two rare metabolites from the leaves of Diospyros melanoxylon". Natural Product Research. 19 (1): 91–97. doi:10.1080/14786410410001704705. PMID 15700652. S2CID 35200920.
  14. ^ Hackman, R. H.; Pryor, M. G.; Todd, A. R. (1948). "The occurrence of phenolic substances in arthropods". The Biochemical Journal. 43 (3): 474–477. doi:10.1042/bj0430474. PMC 1274717. PMID 16748434.
  15. ^ Pacheco Palencia, L. A.; Mertens-Talcott, S; Talcott, S. T. (June 2008). "Chemical composition, antioxidant properties, and thermal stability of a phytochemical enriched oil from Açaí (Euterpe oleracea Mart.)". Journal of Agricultural and Food Chemistry. 56 (12): 4631–4636. doi:10.1021/jf800161u. PMID 18522407.
  16. ^ "Chemical Query". Archived from the original on 2013-06-16. Retrieved 2011-09-25.
  17. ^ Delsignore, A; Romeo., F.; Giaccio, M. (1997). "Content of phenolic substances in basidiomycetes". Mycological Research. 101 (5): 552–556. doi:10.1017/S0953756296003206.
  18. ^ Lee, Y.-S.; Kang, Y. H.; Jung, J. Y.; et al. (October 2008). "Protein glycation inhibitors from the fruiting body of Phellinus linteus". Biological & Pharmaceutical Bulletin. 31 (10): 1968–72. doi:10.1248/bpb.31.1968. PMID 18827365.
  19. ^ Li, Xican; Wang, Xiaozhen; Chen, Dongfeng; Chen, Shuzhi (2011-07-31). "Antioxidant Activity and Mechanism of Protocatechuic Acid in vitro". Functional Foods in Health and Disease. 1 (7): 232. doi:10.31989/ffhd.v1i7.127. ISSN 2160-3855.
  20. ^ Pietta, P. G.; Simonetti, P.; Gardana, C.; Brusamolino, A.; Morazzoni, P.; Bombardelli, E. (1998). "Catechin metabolites after intake of green tea infusions". BioFactors. 8 (1–2): 111–118. doi:10.1002/biof.5520080119. PMID 9699018. S2CID 37684286.
  21. ^ Fujisawa, H.; Hayaishi, O. (1968). "Protocatechuate 3,4-Dioxygenase". Journal of Biological Chemistry. 243 (10): 2673–2681. doi:10.1016/S0021-9258(18)93425-3.