Quinone
The quinones are a class of organic compounds that are formally "derived from aromatic compounds [such as benzene or naphthalene] by conversion of an even number of –CH= groups into –C(=O)– groups with any necessary rearrangement of double bonds", resulting in "a fully conjugated cyclic dione structure".[1][2][3] The archetypical member of the class is 1,4-benzoquinone or cyclohexadienedione, often called simply "quinone" (thus the name of the class). Other important examples are 1,2-benzoquinone (ortho-quinone), 1,4-naphthoquinone and 9,10-anthraquinone.
The name is derived from that of quinic acid (with the suffix "-one" indicating a ketone), since it is one of the compounds obtained upon oxidation of quinic acid.[4] Quinic acid, like quinine is obtained from cinchona bark, called quinaquina in the indigenous languages of Peruvian tribes.
Quinones are commonly seen in chromophores.[5] They are partly responsible for the yellowing of paper; the oxidation of lignin produces ketone derivatives and quinone derivatives, both of which are chromophores.[6]
Properties
Quinones are oxidized derivatives of aromatic compounds and are often readily made from reactive aromatic compounds with electron-donating substituents such as phenols and catechols, which increase the nucleophilicity of the ring and contributes to the large redox potential needed to break aromaticity. (Quinones are conjugated but not aromatic). Quinones are electrophilic Michael acceptors stabilised by conjugation. Depending on the quinone and the site of reduction, reduction can either rearomatise the compound or break the conjugation. Conjugate addition nearly always breaks the conjugation.
The term quinone is also used more generally for a large class of compounds formally derived from aromatic quinones through replacement of some hydrogen atoms by other atoms or radicals.
-
Chloranil, a reagent in organic chemistry -
Lawsone, a dye present in the leaves of the henna plant -
Alizarin, a common red dye -
DDQ, a reagent in organic chemistry -
Daunorubicin, an anticancer drug
Reactions
Quinones form polymers by formation of hydrogen bonds with ρ-hydroquinone.[7]
Reduction
Quinones are oxidizing agents, sometimes reversibly so. Relative to benzoquinone, more strongly oxidizing quinones include chloranil and 2,3-dichloro-5,6-dicyano-1,4-benzoquinone (also known as DDQ).[8]
The oxidizing power of quinones is enhanced by the presence of acids.[9] In acidic conditions, quinone undergoes two-electron and two-proton reduction to hydroquinone.

In alkaline conditions, quinones undergo a reversible single-step, two-electron reduction. In neutral conditions, quinones may undergo either a one-proton, two-electron reduction or a two-electron reduction. In aprotic media, quinones undergo two-step reduction without protons.[10] In the first step, a short-lived semiquinone intermediate is formed. In the second step, the semiquinone is reduced into a quinone dianion.
9,10-Anthraquinone-2,7-disulphonic acid (AQDS) a quinone similar to one found naturally in rhubarb has been used as a charge carrier in metal-free flow batteries.[11]
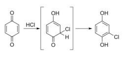
Addition
Quinones undergo addition reaction to form 1,4-addition products.[12] An example of 1,4-addition reaction is the addition of hydrogen chloride to form chlorohydroquinone:

Quinones can undergo Diels–Alder reactions.[12] The quinone acts as the dienophile and reacts with a diene at a carbon-carbon double bond.
In Diels–Alder reactions quinones are used as dienophiles. Historically important syntheses include cholesterol, cortisone, morphine, and reserpine.[13]
Occurrence and uses
Production of hydrogen peroxide
A large scale industrial application of quinones is for the production of hydrogen peroxide. 2-Alkylanthraquinones are hydrogenated to the corresponding hydroquinones (quinizarins), which then transfer H
2 to oxygen:
- dihydroanthraquinone + O
2 → anthraquinone + H
2O
2
in this way, several million metric tons of H
2O
2 are produced annually.[14]
1,4-Naphthoquinone, derived by oxidation of naphthalene with chromium trioxide.[15] It is the precursor to anthraquinone.
Biochemistry
Numerous quinones are significant roles in biology. Vitamin K, which is involved in coagulation of blood, is a quinone. Ubiquinone-10 is a naturally occurring 1,4-benzoquinone involved in respiration apparatus. Plastoquinone is a redox relay involved in photosynthesis. Pyrroloquinoline quinone is another biological redox cofactor.


Quinones are conjectured to occur in all respiring organisms.[16] Some serve as electron acceptors in electron transport chains such as those in photosynthesis (plastoquinone, phylloquinone), and aerobic respiration (ubiquinone). Phylloquinone is also known as vitamin K1, as it is used by animals to carboxylate certain proteins, which are involved in blood coagulation, bone formation, and other processes. Conversely, the toxicity of paracetamol is due to its metabolism to a quinone imine, which then reacts with liver proteins to cause liver failure.
The auto-oxidation of the neurotransmitter dopamine and its precursor L-Dopa generates the comparatively stable dopamine quinone which inhibits the functioning of dopamine transporter (DAT) and the TH enzyme and leads to low mitochondrial ATP production.[17]
The benzoquinone blattellaquinone is a sex pheromone in cockroaches. In the spray of bombardier beetles, hydroquinone reacts with hydrogen peroxide to produce a fiery blast of steam, a deterrent in the animal world.
Medical
Several quinones are of pharmacological interest. They form a major class of anticancer cytotoxins. One example is daunorubicin, which is antileukemic.[16] Some of them show anti-tumoral activity. They embody some claims in herbal medicine. These applications include purgative (sennosides), antimicrobial and antiparasitic (rhein and saprorthoquinone, atovaquone), anti-tumor (emodin and juglone), inhibition of PGE2 biosynthesis (arnebinone and arnebifuranone) and anti-cardiovascular disease (tanshinone).[18] Malbranchea cinnamomea is a thermophilic fungus, which produces a quinone antibiotic.
Another quinone-containing drug is Mecarbinate (dimecarbine), made by the reaction of ethyl N-methyl-β-aminocrotonate with para-benzoquinone. Others include Amendol, Oxyphemedol, Phemedol all in FR5142 (M) ― 1967-06-05. Note: These are all indoles made via the Nenitzescu indole synthesis. The antineoplastic Apaziquone.
Benzoquinone compounds are a metabolite of paracetamol.[19]
Dyes
Many natural and artificial coloring substances (dyes and pigments) are quinone derivatives, for instance lawsone is the active dye compound in henna. They are second only to azo dyes in importance as dyestuffs, with particular emphasis on blue colors. Alizarin (1,2-dihydroxy-9,10-anthraquinone), extracted from the madder plant, was the first natural dye to be synthesized from coal tar.
Photography
A commercial application of quinones is in black-and-white photography. Black-and-white film is covered with an emulsion containing silver bromide or silver iodide crystals, which exposure to light activates. Hydroquinone is used to reduce the activated silver ions to metallic silver. During this process, hydroquinone is oxidized to quinone. All silver halide not activated by light or reduced by hydroquinone is removed, leaving a negative by deposited silver where the film had been struck by light.[20]
Nomenclature
Quinones are commonly named with a prefix that indicates the parent aromatic hydrocarbon ("benzo-" for benzene, "naphtho-" for naphthalene, "anthra-" for anthracene, etc.) and the "-quinone" suffix. Infix multipliers "-di-", "-tri-", "-tetra-" (etc.) are used when there are 4, 6, 8 (etc.) carbonyls. The position of the carbonyl groups can be indicated before the prefix (as in "1,4,5,8-naphthodiquinone") or after it ("anthra-1,4-quinone").
Structural analogues of quinones
- Quinone methide – where one O is replaced by C
- Xylylene – where both O's are replaced by C's
- Quinone imine – where one O is replaced by N, illustrated by NAPQI
- Quinone diimine – where both O's are replaced by N's, illustrated by the antiseptic ambazone
- Azaxylylene – where both O's are replaced by one N and one C, illustrated by various fuchsine dyes like pararosaniline
References
- ^ IUPAC, Compendium of Chemical Terminology, 5th ed. (the "Gold Book") (2025). Online version: (2006–) "Quinones". doi:10.1351/goldbook.Q05015
- ^ Patai, Saul; Rappoport, Zvi, eds. (1988). The Quinonoid Compounds: Vol. 1 (1988). doi:10.1002/9780470772119. ISBN 978-0-470-77211-9.
- ^ Patai, Saul; Rappoport, Zvi, eds. (1988). The Quinonoid Compounds: Vol. 2 (1988). doi:10.1002/9780470772126. ISBN 978-0-470-77212-6.
- ^ The Chemical News and Journal of Physical Science. Griffin, Bohn and Company. 1773.
- ^ "2.3: UV-Visible Spectroscopy of Organic Compounds". Chemistry LibreTexts. 2019-09-24. Retrieved 2025-09-16.
- ^ Carter, Henry A. (1996-11-01). "The Chemistry of Paper Preservation: Part 2. The Yellowing of Paper and Conservation Bleaching". Journal of Chemical Education. 73 (11): 1068. doi:10.1021/ed073p1068. ISSN 0021-9584.
- ^ Sakurai, T. (1968). "On the refinement of the crystal structures of phenoquinone and monoclinic quinhydrone". Acta Crystallographica Section B Structural Crystallography and Crystal Chemistry. 24 (3): 403–412. Bibcode:1968AcCrB..24..403S. doi:10.1107/S0567740868002451.
- ^ March, Jerry (1985). Advanced Organic Chemistry: Reactions, Mechanisms, and Structure (3rd ed.). New York: Wiley. ISBN 9780471854722. OCLC 642506595.
- ^ Guin, Partha Sarathi; Das, Saurabh; Mandal, P. C. (2011-03-16). "Electrochemical Reduction of Quinones in Different Media: A Review". International Journal of Electrochemistry. 2011 e816202. doi:10.4061/2011/816202. ISSN 2090-3529.
- ^ René, Alice; Evans, Dennis H. (2012-07-12). "Electrochemical Reduction of Some o -Quinone Anion Radicals: Why Is the Current Intensity so Small?". The Journal of Physical Chemistry C. 116 (27): 14454–14460. doi:10.1021/jp3038335. ISSN 1932-7447.
- ^ Huskinson, Brian; Marshak, Michael P.; Suh, Changwon; Er, Süleyman; Gerhardt, Michael R.; Galvin, Cooper J.; Chen, Xudong; Aspuru-Guzik, Alán; Gordon, Roy G.; Aziz, Michael J. (9 January 2014). "A metal-free organic-inorganic aqueous flow battery" (PDF). Nature. 505 (7482): 195–198. Bibcode:2014Natur.505..195H. doi:10.1038/nature12909. PMID 24402280. S2CID 4459692. Archived from the original (PDF) on 24 August 2021. Retrieved 24 August 2021.
- ^ a b Smith, P. W. G.; Tatchell, A. R. (1969-01-01), Smith, P. W. G.; Tatchell, A. R. (eds.), "Aromatic Alcohols and Carbonyl Compounds", Aromatic Chemistry, Pergamon, pp. 144–175, doi:10.1016/b978-0-08-012948-8.50010-3, ISBN 978-0-08-012948-8, retrieved 2022-11-17
{{citation}}: CS1 maint: work parameter with ISBN (link) - ^ Nawrat, Christopher C.; Moody, Christopher J. (2014-02-17). "Quinones as Dienophiles in the Diels–Alder Reaction: History and Applications in Total Synthesis". Angewandte Chemie International Edition. 53 (8): 2056–2077. Bibcode:2014ACIE...53.2056N. doi:10.1002/anie.201305908. PMID 24446164. S2CID 1362687.
- ^ Gustaaf Goor, Jürgen Glenneberg, Sylvia Jacobi "Hydrogen Peroxide" in Ullmann's Encyclopedia of Industrial Chemistry 2007, Wiley-VCH, Weinheim. doi:10.1002/14356007.a13_443.pub2.
- ^ Braude E. A.; Fawcett, J. S. (1953). "1,4-Naphthoquinone". Organic Syntheses. 33: 50. doi:10.15227/orgsyn.033.0050; Collected Volumes, vol. 4, p. 698.
- ^ a b O'Brien, P.J. (1991). "Molecular mechanisms of quinone cytotoxicity". Chemico-Biological Interactions. 80 (1): 1–41. Bibcode:1991CBI....80....1O. doi:10.1016/0009-2797(91)90029-7. PMID 1913977.
- ^ Dorszewska, Jolanta; Prendecki, Michal; Kozubski, Margarita Lianeri and Wojciech (2014-01-31). "Molecular Effects of L-dopa Therapy in Parkinson's Disease". Current Genomics. 15 (1): 11–17. doi:10.2174/1389202914666131210213042. PMC 3958954. PMID 24653659.
- ^ Liu H., "Extraction and Isolation of Compounds from Herbal Medicines" in 'Traditional Herbal Medicine Research Methods', ed by Willow JH Liu 2011 John Wiley and Sons, Inc.
- ^ Dahlin, D. C.; Miwa, G. T.; Lu, A. Y.; Nelson, S. D. (1984). "N-acetyl-p-benzoquinone imine: a cytochrome P-450-mediated oxidation product of acetaminophen". Proceedings of the National Academy of Sciences of the United States of America. 81 (5): 1327–1331. Bibcode:1984PNAS...81.1327D. doi:10.1073/pnas.81.5.1327. PMC 344826. PMID 6424115.
- ^ Brown, William Henry; Iverson, Brent L.; Anslyn, Eric V.; Foote, Christopher S. (2018). Organic chemistry (8th ed.). Boston, MA: Cengage Learning. ISBN 978-1-305-58035-0. OCLC 974377227.
External links
- Quinones at the U.S. National Library of Medicine Medical Subject Headings (MeSH)


