Suxibuzone

Suxibuzone
Two-dimensional monochrome diagram showing the structure of the molecule of Suxibuzone, uing the hexagonal style to depict a chemical compound.
Suxibuzone molecule
Clinical data
AHFS/Drugs.comInternational Drug Names
ATC code
Identifiers
IUPAC name
  • 4-[ [4-butyl-3,5-dioxo-1,2-di(phenyl)pyrazolidin-4-yl]methoxy]-4-oxobutanoic acid
CAS Number
PubChem CID
ChemSpider
UNII
KEGG
ChEMBL
CompTox Dashboard (EPA)
ECHA InfoCard100.044.056
Chemical and physical data
FormulaC24H26N2O6
Molar mass438.480 g·mol−1
3D model (JSmol)
SMILES
  • O=C(O)CCC(=O)OCC2(C(=O)N(c1ccccc1)N(C2=O)c3ccccc3)CCCC
InChI
  • InChI=1S/C24H26N2O6/c1-2-3-16-24(17-32-21(29)15-14-20(27)28)22(30)25(18-10-6-4-7-11-18)26(23(24)31)19-12-8-5-9-13-19/h4-13H,2-3,14-17H2,1H3,(H,27,28) ☒N
  • Key:ONWXNHPOAGOMTG-UHFFFAOYSA-N ☒N
 ☒NcheckY (what is this?)  (verify)

Suxibuzone is an analgesic used for joint and muscular pain. It is a prodrug of the non-steroidal anti-inflammatory drug (NSAID) phenylbutazone,[1] and is commonly used in horses.[2]

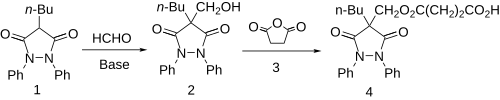
Synthesis

Suxibuzone is synthesized by the following method:[3]

Phenylbutazone [50-33-9] (1) is hydroxymethylated with formaldehyde giving ~86% 4-butyl-4-(hydroxymethyl)-1,2-diphenylpyrazolidine-3,5-dione [23111-33-3] (2). This is then esterified with succinic anhydride. [108-30-5] (3) to give (4).

References

  1. ^ Yasuda Y, Shindo T, Mitani N, Ishida N, Oono F, Kageyama T (May 1982). "Comparison of the absorption, excretion, and metabolism of suxibuzone and phenylbutazone in humans". Journal of Pharmaceutical Sciences. 71 (5): 565–572. Bibcode:1982JPhmS..71..565Y. doi:10.1002/jps.2600710521. PMID 7097505.
  2. ^ Sabaté D, Homedes J, Salichs M, Sust M, Monreal L (September 2009). "Multicentre, controlled, randomised and blinded field study comparing efficacy of suxibuzone and phenylbutazone in lame horses". Equine Veterinary Journal. 41 (7): 700–705. doi:10.2746/042516409X464807. PMID 19927590.
  3. ^ Esteve J, Parés J, Roser R, Rodriguez L (1971). "Synthesis and characterization of suxibuzone. Blood levels in man after oral and rectal administration". Quimica e Industria. 17. Madrid: 107.