Triphenylmethanol
![]() | |||
| |||
| Names | |||
|---|---|---|---|
| Preferred IUPAC name
Triphenylmethanol | |||
| Other names
Triphenylcarbinol
Tritanol | |||
| Identifiers | |||
CAS Number
|
|||
3D model (JSmol)
|
|||
| ChEMBL | |||
| ChemSpider | |||
| ECHA InfoCard | 100.000.899 | ||
PubChem CID
|
|||
| UNII | |||
CompTox Dashboard (EPA)
|
|||
InChI
| |||
SMILES
| |||
| Properties | |||
Chemical formula
|
C19H16O | ||
| Molar mass | 260.33 g/mol | ||
| Appearance | White crystalline solid | ||
| Density | 1.199 | ||
| Melting point | 160 to 163 °C (320 to 325 °F; 433 to 436 K) | ||
| Boiling point | 360 to 380 °C (680 to 716 °F; 633 to 653 K) | ||
Magnetic susceptibility (χ)
|
−175.7·10−6 cm3/mol | ||
| Hazards | |||
| Safety data sheet (SDS) | External MSDS | ||
| Related compounds | |||
Related compounds
|
Triphenylmethane, Tricyclohexylmethanol | ||
Except where otherwise noted, data are given for materials in their standard state (at 25 °C [77 °F], 100 kPa).
Infobox references
| |||
Triphenylmethanol (also known as triphenylcarbinol and TrOH) is an organic compound. It is a white crystalline solid that is insoluble in water and petroleum ether, but well soluble in ethanol, diethyl ether, and benzene. In strongly acidic solutions, it produces an intensely yellow color, due to the formation of a stable "trityl" carbocation. Many derivatives of triphenylmethanol are important dyes.[1]
Structure and properties
Triphenylmethanol features three phenyl (Ph) rings and an alcohol group bound to a central tetrahedral carbon atom. All three C–Ph bonds are typical of sp3-sp2 carbon-carbon bonds with lengths of approximately 1.47 Å, while the C–O bond length is approximately 1.42 Å.[2]
The presence of three adjacent phenyl groups confers special properties manifested in the reactivity of the alcohol. For example it reacts with acetyl chloride, not to give the ester, but triphenylmethyl chloride:[3]
- Ph3COH + MeCOCl → Ph3CCl + MeCO2H
The three phenyl groups also offer steric protection. Reaction with hydrogen peroxide gives an unusually stable hydroperoxide, Ph3COOH.[4]
Acid-base properties
As a derivative of methanol, triphenylmethanol is expected to have a pKa in the range of 16–19. Typical of alcohols, resonance offers no stabilization of the conjugate base due to being bonded to a sp3 carbon atom. Stabilization of the anion by solvation forces is largely ineffective due to the steric influence of the three phenyl groups.
The basicity of triphenylmethanol is enhanced due to the formation of a resonance-stabilized carbocation upon breaking of the C–O bond. After protonation of the oxygen under strongly acidic conditions, triphenylmethanol loses water to form the triphenylmethyl ("trityl") cation:
- Ph3COH + H+ → Ph3C+ + H2O
The trityl cation is one of the easiest carbocations to isolate, although it quickly reacts with water.
Triphenylmethyl hydroperoxide is prepared from by treating triphenylmethanol with hydrogen peroxide in the presence of acid:[5]
- (C6H5)3COH + H2O2 → (C6H5)3COOH + H2O
Synthesis
The Russian doctoral student Walerius Hemilian (1851–1914) first synthesized triphenylmethanol in 1874 by hydrolysis of triphenylmethyl bromide as well as by chromate oxidation of triphenylmethane.[6]
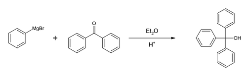
The preparation of triphenylmethanol from methyl benzoate or benzophenone and phenylmagnesium bromide is a common laboratory experiment for illustrating the Grignard reaction.[7] An alternative starting material is diethyl carbonate.[8]
Applications
Although not of major industrial importance, triphenylmethanol is a useful reagent in the research laboratory. Substituted derivatives of triphenylmethanol are intermediates in the production of the commercially useful triarylmethane dyes.[1]
References
- ^ a b Gessner, Thomas; Mayer, Udo (2000). "Triarylmethane and Diarylmethane Dyes". Ullmann's Encyclopedia of Industrial Chemistry. Weinheim: Wiley-VCH. doi:10.1002/14356007.a27_179. ISBN 978-3-527-30673-2.
- ^ Rodríguez Tzompantzi, Tomasa; Amaro Hernández, Aldo Guillermo; Meza-León, Rosa Luisa; Bernès, Sylvain (2019). "Deciphering the Hydrogen-Bonding Scheme in the Crystal Structure of Triphenylmethanol: A Tribute to George Ferguson and Co-workers". Acta Crystallographica Section C: Structural Chemistry. 75 (9): 1266–1273. Bibcode:2019AcCrC..75.1266R. doi:10.1107/S2053229619010714. PMC 6727172. PMID 31484815.
- ^ W. E. Bachmann. "Triphenylchloromethane". Organic Syntheses. 23. doi:10.15227/orgsyn.023.0100.
- ^ Bryant E. Rossiter and Michael O. Frederick "Triphenylmethyl Hydroperoxide" E-EROS Encyclopedia of Reagents for Organic Synthesis, 2013. doi:10.1002/047084289X.rt363m.pub2
- ^ Rossiter, Bryant E.; Frederick, Michael O. (2013). "Triphenylmethyl Hydroperoxide". Encyclopedia of Reagents for Organic Synthesis. doi:10.1002/047084289X.rt363m.pub2. ISBN 978-0-471-93623-7.
- ^ Hemilian, W. (1874). "VII. Synthese des Triphenylmethans und des Methylphenyl-Diphenylmethans". Berichte der Deutschen Chemischen Gesellschaft. 7 (2): 1203–1210. doi:10.1002/cber.18740070284.
- ^ W. E. Bachmann and H. P. Hetzner. "Triphenylcarbinol". Organic Syntheses; Collected Volumes, vol. 3, p. 839.
- ^ Latimer, Devin (2007). "The GC–MS Observation of Intermediates in a Stepwise Grignard Addition Reaction". J. Chem. Educ. 84 (4): 699. Bibcode:2007JChEd..84..699L. doi:10.1021/ed084p699.



