Cefapirin

Cefapirin
Clinical data
AHFS/Drugs.comInternational Drug Names
MedlinePlusa601206
Routes of
administration
Intravenous, intramuscular
ATC code
Legal status
Legal status
  • US: ℞-only
Identifiers
CAS Number
PubChem CID
DrugBank
ChemSpider
UNII
KEGG
ChEBI
ChEMBL
CompTox Dashboard (EPA)
ECHA InfoCard100.040.409
Chemical and physical data
FormulaC17H17N3O6S2
Molar mass423.46 g·mol−1
3D model (JSmol)
SMILES
  • O=C2N1/C(=C(\CS[C@@H]1[C@@H]2NC(=O)CSc3ccncc3)COC(=O)C)C(=O)O
InChI
  • InChI=1S/C17H17N3O6S2/c1-9(21)26-6-10-7-28-16-13(15(23)20(16)14(10)17(24)25)19-12(22)8-27-11-2-4-18-5-3-11/h2-5,13,16H,6-8H2,1H3,(H,19,22)(H,24,25)/t13-,16-/m1/s1 checkY
  • Key:UQLLWWBDSUHNEB-CZUORRHYSA-N checkY
  (verify)

Cefapirin (INN, also spelled cephapirin) is an injectable, first-generation cephalosporin antibiotic. It is marketed under the trade name Cefadyl. Production for use in humans has been discontinued in the United States.[1]

It also has a role in veterinary medicine as Metricure, an intrauterine preparation, and combined with prednisolone in Mastiplan, an intramammary preparation. Both are licensed in cattle.

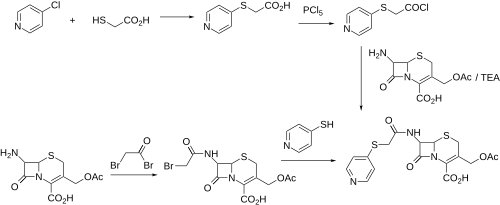
Synthesis

Cephapirin synthesis:[2] U.S. patent 3,422,100 U.S. patent 3,503,967 U.S. patent 3,578,661

In one of the syntheses, 7-aminocephalosporanic acid (7-ACA) is reacted with bromoacetyl chloride to give the amide. The halo group is then displaced by 4-thiopyridine.[2]

References

  1. ^ "CEFADYL". U.S. Food and Drug Administration. Archived from the original on September 26, 2006.
  2. ^ a b Crast LB, Graham RG, Cheney LC (December 1973). "Synthesis of cephapirin and related cephalosporins from 7-(alpha-bromoacetamido)cephalosporanic acid". Journal of Medicinal Chemistry. 16 (12): 1413–5. doi:10.1021/jm00270a025. PMID 4148798.