Trimethobenzamide Trade names Tigan, Tebamide AHFS/Drugs.com Monograph MedlinePlus a682693 Routes of administration Oral, rectal, intramuscular ATC code Legal status
Bioavailability 60-100% Elimination half-life 7 to 9 hours (mean) Excretion urine (30-50%), faeces
N -{[4-(2-dimethylaminoethoxy)phenyl]methyl}- 3,4,5-trimethoxy-benzamide
CAS Number PubChem CID IUPHAR/BPS DrugBank ChemSpider UNII ChEBI ChEMBL CompTox Dashboard (EPA ) ECHA InfoCard 100.004.848 Formula C 21 H 28 N 2 O 5 Molar mass 388.464 g·mol−1 3D model (JSmol)
O=C(c1cc(OC)c(OC)c(OC)c1)NCc2ccc(OCCN(C)C)cc2
InChI=1S/C21H28N2O5/c1-23(2)10-11-28-17-8-6-15(7-9-17)14-22-21(24)16-12-18(25-3)20(27-5)19(13-16)26-4/h6-9,12-13H,10-11,14H2,1-5H3,(H,22,24)
Y Key:FEZBIKUBAYAZIU-UHFFFAOYSA-N
Y
N Y (what is this?) (verify)
Trimethobenzamide (trade names Tebamide , Tigan ) is an antiemetic used to prevent nausea and vomiting.
Mechanism of action
Trimethobenzamide is an antagonist of the D2 receptor.[ 1] It is believed to affect the chemoreceptor trigger zone (CTZ) of the medulla oblongata to suppress nausea and vomiting.
Side effects
Possible side effects include drowsiness, dizziness, headache, muscle cramps, and blurred vision. More serious adverse effects include skin rash, tremors, parkinsonism, and jaundice.
Trimethobenzamide is marketed under the brand names Tebamide and Tigan , manufactured by GlaxoSmithKline and King Pharmaceuticals, respectively. It is available as oral capsules and injectable formulations.
Trimethobenzamide was also available as a rectal suppository, but such formulations were banned by the U.S. Food and Drug Administration on April 6, 2007, due to unproven efficacy.[ 2]
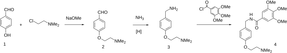
Synthesis
Trimethobenzamide synthesis: Hoffmann La Roche, U.S. patent 2,879,293 (1959).
Alkylation of the sodium salt of p -hydroxybenzaldehyde (1) with 2-dimethylaminoethyl chloride affords the ether (2). Reductive amination of the aldehyde in the presence of ammonia gives diamine (3). Acylation of that product with 3,4,5-trimethoxybenzoyl chloride affords trimethobenzamide (4).
See also
References
External links
Antiemetics (A04)
5-HT3 serotonin ion channel antagonists 5-HT serotonin G-protein receptor antagonists CB1 agonists (cannabinoids) D2 /D3 antagonists H1 antagonists (antihistamines) mACh antagonists (anticholinergics) NK1 antagonists
Aprepitant
Fosaprepitant
Maropitant
Netupitant
Rolapitant
Tradipitant
Others
Dopamine receptor modulators
D1 -like
Agonists
Benzazepines : 6-Br-APB
Fenoldopam
SKF-38,393
SKF-77,434
SKF-81,297
SKF-82,958
SKF-83,959
Trepipam
Zelandopam
Dihydrexidine derivatives : A-77636
A-86929
Adrogolide (ABT-431, DAS-431)
Dihydrexidine
Dinapsoline
Dinoxyline
Doxanthrine
Phenethylamines : BCO-001
Deoxyepinephrine (N -methyldopamine, epinine)
Dipropyldopamine (DPDA)
Dopamine
Dopexamine
Etilevodopa
Ibopamine
L -DOPA (levodopa)
Lu AE04621
Melevodopa
L -Phenylalanine
L -Tyrosine
XP21279
Others : A-68930
Apomorphine
Isocorypalmine
Lu AF28996
Nuciferine
PF-06412562
PF-6649751
PF 6669571
Propylnorapomorphine
Rotigotine
SKF-89,145
SKF-89,626
Stepholidine
Tavapadon
Tetrahydropalmatine
PAMs
Tetrahydroisoquinolines : DETQ
DPTQ
Glovadalen
Mevidalen
Antagonists
Others : Berupipam
Ecopipam
EEDQ
Metitepine (methiothepin)
Odapipam
Perlapine
SCH-23390
D2 -like
Agonists
Aminotetralins : 5-OH-DPAT
7-OH-DPAT
8-OH-PBZI
CHF-1024
Nolomirole
Rotigotine
UH-232
Dihydrexidine derivatives : 2-OH-NPA
Ciladopa
Dihydrexidine
Dinoxyline
N,N-Propyldihydrexidine
Phenethylamines : Deoxyepinephrine (N-methyldopamine, epinine)
Dipropyldopamine (DPDA)
Dopamine
Dopexamine
Etilevodopa
Ibopamine
L -DOPA (levodopa)
Lu AE04621
L -Phenylalanine
RU-24213
L -Tyrosine
Melevodopa
XP21279
Atypical antipsychotics : Alentemol (U-66444B)
Aripiprazole (+sertraline)
Aripiprazole lauroxil
Bifeprunox
Brexpiprazole
Brilaroxazine
Cariprazine
F-15063
Lumateperone
Norclozapine
Others : 3-PPP
A-412997
ABT-670
ABT-724
Adrafinil
Aplindore
Apomorphine
Arketamine
Armodafinil
BP-897
Captodiame
CP-226,269
Debenzergoline
Dizocilpine
Esketamine
Etrabamine
Flibanserin
7-Hydroxyropinirole (SK&F-89124)
Ketamine
Lu AF28996
Matsupexole
Modafinil
Naxagolide
OSU-6162
Pardoprunox
PD-128,907
PD-168,077
PF-219,061
PF-592,379
Phencyclidine
Piribedil
Pramipexole
Preclamol
Propylnorapomorphine
Pukateine
Quinagolide
Quinelorane
Quinpirole
RDS-127
Ro10-5824
Ropinirole
Roxindole
S32504
Salvinorin A
SKF-39315
SKF-83,959
Sumanirole
Talipexole
Umespirone
WAY-100,635
XC-130
Antagonists
Others : 3-PPP
Alpiropride
Azapride
Bromerguride
Bromocriptine
Buspirone
Carmoxirole
Desmethoxyfallypride
EEDQ
F-15063
Fallypride
Fananserin
Fenfluramine
Iodobenzamide
Isocorypalmine
L-741,626
L-745,870
Levofenfluramine
LEK-8829
Metitepine (methiothepin)
N-Methylspiperone
Nafadotride
Nuciferine
Ordopidine
PNU-99,194
Pridopidine
Raclopride
Sarizotan
SB-277,011-A
Seridopidine
Sonepiprazole
Spiroxatrine
Stepholidine
SV-293
Tetrahydropalmatine
Tiapride
UH-232
XC-130
Yohimbine
See also: Receptor/signaling modulators
Adrenergics
Serotonergics
Monoamine reuptake inhibitors
Monoamine releasing agents
Monoamine metabolism modulators
Monoamine neurotoxins