Thiethylperazine
![]() | |
| Clinical data | |
|---|---|
| Trade names | Torecan, Norzine |
| AHFS/Drugs.com | Micromedex Detailed Consumer Information |
| ATC code |
|
| Pharmacokinetic data | |
| Protein binding | 60% |
| Identifiers | |
IUPAC name
| |
| CAS Number | |
| PubChem CID | |
| IUPHAR/BPS | |
| DrugBank | |
| ChemSpider | |
| UNII | |
| KEGG | |
| ChEBI | |
| ChEMBL | |
| CompTox Dashboard (EPA) | |
| ECHA InfoCard | 100.014.381 |
| Chemical and physical data | |
| Formula | C22H29N3S2 |
| Molar mass | 399.62 g·mol−1 |
| 3D model (JSmol) | |
SMILES
| |
InChI
| |
| (verify) | |
Thiethylperazine (Torecan, Norzine) is an antiemetic[1] of the phenothiazine class. It is an antagonist of dopamine receptors (DRD1, DRD2, DRD4) as well as of 5-HT2A, 5-HT2C receptors, mAChRs (1 through 5), α1 adrenergic receptor and H1 receptor.
Thiethylperazine activates the transport protein ABCC1 that clears beta-amyloid from brains of mice.[2]
Pharmacokinetics
Distribution
Thiethylperazine is highly lipofilic and it binds with membranes and serum proteins (over 85%).[3] It accumulates in organs with high blood flow and penetrates the placenta. It cannot be removed with dialysis.
Metabolism
It is mainly metabolized in the liver and only 3% is eliminated unchanged. Thiethylperazine's half-life is 12 h.
Teratogenicity
In toxic doses above the terapeutic window, it increases the rate of cleft palate occurrence.
Antipsychotic activity
Theithylperazine may possess antipsychotic activity[4] due to the antagonism of 5-HT2 and D2 receptors. It can cause extrapyramidal symptoms. Nevertheless, it was never marketed as an antipsychotic.
One cause of acute dystonia occurred in a 19-year-old male patient after discontinuation of this drug.[5]
Overdose
Signs of acute thiethylperazine overdose include extrapyramidal symptoms, confusion, convulsions, respiratory depression, and hypotension.
Synthesis
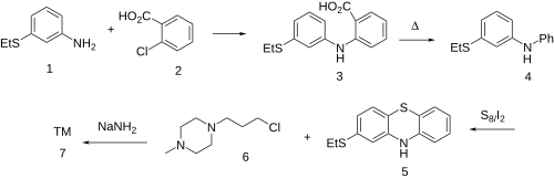
One synthesis of thiethylperazine begins with a Goldberg reaction between 3-(ethylsulfanyl)aniline (1) and 2-chlorobenzoic acid (2) to give the diarylamine 3.[6][7][8] The carboxyl in the anthranilic acid residue, having performed its activating function, is then thermolytically removed to form (4). Upon treatment with sulfur and iodine, we get predominantly the phenothiazine (5). The reaction may well be aided by the presence of the electron donating thioether at the para-position. Alkylation with 1-(γ-chloropropyl)-4-methylpiperazine (6) in the presence of sodamide affords thiethylperazine (7).

References
- ^ Tamboline BL, Mcgillivray DC, Bogoch A (February 1965). "The Effects of Thiethylperazine Dimaleate (Torecan) on Nausea and Vomiting". Canadian Medical Association Journal. 92 (8): 422–423. PMC 1928133. PMID 14261157.
- ^ Krohn M, Lange C, Hofrichter J, Scheffler K, Stenzel J, Steffen J, et al. (October 2011). "Cerebral amyloid-β proteostasis is regulated by the membrane transport protein ABCC1 in mice". The Journal of Clinical Investigation. 121 (10): 3924–3931. doi:10.1172/JCI57867. PMC 3195473. PMID 21881209.
- "Alzheimer disease: Transport protein ABCC1 plays key role in clearing beta-amyloid from brains of mice". ScienceDaily (Press release). September 1, 2011.
- ^ "Charakterystyka Produktu Leczniczego". rejestrymedyczne.ezdrowie.gov.pl (in Polish). Archived from the original on October 20, 2022. Retrieved 14 May 2023.
- ^ Rotrosen J, Angrist BM, Gershon S, Aronson M, Gruen P, Sachar EJ, et al. (September 1978). "Thiethylperazine; clinical antipsychotic efficacy and correlation with potency in predictive systems". Archives of General Psychiatry. 35 (9): 1112–1118. doi:10.1001/archpsyc.1978.01770330086008. PMID 99115.
- ^ Khanderia U (July 1985). "Recurrent dystonic reactions induced by thiethylperazine". Drug Intelligence & Clinical Pharmacy. 19 (7–8): 550–551. doi:10.1177/106002808501900708. PMID 4028959. S2CID 44453678.
- ^ Bourquin JP, Schwarb G, Gamboni G, Fischer R, Ruesch L, Guldimann S, et al. (1958). "Synthesen auf dem Phenothiazin-Gebiet. 1. Mitteilung. Mercaptophenothiazin-Derivate". Helvetica Chimica Acta. 41 (4): 1061–1072. doi:10.1002/hlca.19580410419.
- ^ Bourquin JP, Schwarb G, Gamboni G, Fischer R, Ruesch L, Guldimann S, et al. (1958). "Synthesen auf dem Phenothiazin-Gebiet. 2. Mitteilung. N-substituierte Mercaptophenothiazin-Derivate". Helvetica Chimica Acta. 41 (4): 1072–1108. doi:10.1002/hlca.19580410420.
- ^ US 3336197, Jany R, Bourquin jP, Gamboni G, Schwarb G, issued 1967, assigned to Sandoz KK.
