Chromium(III) chloride
![]() Anhydrous
| |
![]() Hexahydrate
| |
| Names | |
|---|---|
IUPAC name
| |
| Other names
Chromic chloride
| |
| Identifiers | |
CAS Number
|
|
3D model (JSmol)
|
|
| ChEBI | |
| ChEMBL | |
| ChemSpider | |
| DrugBank | |
| ECHA InfoCard | 100.030.023 |
Gmelin Reference
|
1890 130477 532690 |
PubChem CID
|
|
| RTECS number |
|
| UNII |
|
CompTox Dashboard (EPA)
|
|
InChI
| |
SMILES
| |
| Properties | |
Chemical formula
|
CrCl3 |
| Molar mass | 158.36 g/mol (anhydrous) 266.45 g/mol (hexahydrate)[1] |
| Appearance | Purple (anhydrous), dark green (hexahydrate) |
| Density | 2.87 g/cm3 (anhydrous) 1.760 g/cm3 (hexahydrate) |
| Melting point | 1,152 °C (2,106 °F; 1,425 K) (anhydrous) 81 °C (hexahydrate)[2] |
| Boiling point | 1,300 °C (2,370 °F; 1,570 K) decomposes |
Solubility in water
|
slightly soluble (anhydrous) 585 g/L (hexahydrate) |
| Solubility | insoluble in ethanol insoluble in ether, acetone |
| Acidity (pKa) | 2.4 (0.2M solution) |
Magnetic susceptibility (χ)
|
+6890.0·10−6 cm3/mol |
| Structure | |
Crystal structure
|
YCl3 structure |
Coordination geometry
|
Octahedral |
| Hazards | |
| GHS labelling: | |
Pictograms
|
![]() ![]()
|
Signal word
|
Danger |
Hazard statements
|
H302, H314, H411 |
Precautionary statements
|
P260, P264, P270, P273, P280, P301+P312, P301+P330+P331, P303+P361+P353, P304+P340, P305+P351+P338, P310, P321, P330, P363, P391, P405, P501 |
| NFPA 704 (fire diamond) | ![]()
3
0
0 |
| Flash point | Non-flammable |
| Lethal dose or concentration (LD, LC): | |
LD50 (median dose)
|
1870 mg/kg (oral, rat)[4] |
| NIOSH (US health exposure limits): | |
PEL (Permissible)
|
TWA 1 mg/m3[3] |
REL (Recommended)
|
TWA 0.5 mg/m3[3] |
IDLH (Immediate danger)
|
250 mg/m3[3] |
| Safety data sheet (SDS) | ICSC 1316 (anhydrous) ICSC 1532 (hexahydrate) |
| Related compounds | |
Other anions
|
|
Other cations
|
|
Related compounds
|
|
Except where otherwise noted, data are given for materials in their standard state (at 25 °C [77 °F], 100 kPa).
Infobox references
| |
Chromium(III) chloride (also called chromic chloride) is an inorganic chemical compound with the chemical formula CrCl3. This crystalline salt forms several hydrates with the formula CrCl3·nH2O, among which are hydrates where n can be 5 (chromium(III) chloride pentahydrate CrCl3·5H2O) or 6 (chromium(III) chloride hexahydrate CrCl3·6H2O). The anhydrous compound with the formula CrCl3 are violet crystals, while the most common form of the chromium(III) chloride are the dark green crystals of hexahydrate, CrCl3·6H2O. Chromium chlorides find use as catalysts and as precursors to dyes for wool.
Structure
Anhydrous chromium(III) chloride adopts the YCl3 structure,[6] with Cr3+ occupying one third of the octahedral interstices in alternating layers of a pseudo-cubic close packed lattice of Cl− ions. The absence of cations in alternate layers leads to weak bonding between adjacent layers. For this reason, crystals of CrCl3 cleave easily along the planes between layers, which results in the flaky (micaceous) appearance of samples of chromium(III) chloride.[7][8] The anhydrous CrCl3 is exfoliable down to the monolayer limit.[6] If pressurized to 9.9 GPa it goes under a phase transition.[9]
-
Space-filling model of cubic close packing of chloride ions in the crystal structure of CrCl3 -
Ball-and-stick model of part of a layer -
Stacking of layers
Chromium(III) chloride hydrates
The hydrated chromium(III) chlorides display the somewhat unusual property of existing in a number of distinct chemical forms (isomers), which differ in terms of the number of chloride anions that are coordinated to Cr(III) and the water of crystallization. The different forms exist both as solids and in aqueous solutions. Several members are known of the series of [CrCl3−q(H2O)n]q+. The common hexahydrate can be more precisely described as [CrCl2(H2O)4]Cl·2H2O. It consists of the cation trans-[CrCl2(H2O)4]+ and additional molecules of water and a chloride anion in the lattice.[10] Two other hydrates are known, pale green [CrCl(H2O)5]Cl2·H2O and violet [Cr(H2O)6]Cl3. Similar hydration isomerism is seen with other chromium(III) compounds.
Preparation
Anhydrous chromium(III) chloride may be prepared by chlorination of chromium metal directly, or indirectly by carbothermic chlorination of chromium(III) oxide at 650–800 °C[11][12]
- Cr2O3 + 3 C + 3 Cl2 → 2 CrCl3 + 3 CO
The hydrated chlorides are prepared by treatment of chromate with hydrochloric acid and aqueous methanol.
Reactions
Slow reaction rates are common with chromium(III) complexes. The low reactivity of the d3 Cr3+ ion can be explained using crystal field theory. One way of opening CrCl3 up to substitution in solution is to reduce even a trace amount to CrCl2, for example using zinc in hydrochloric acid. This chromium(II) compound undergoes substitution easily, and it can exchange electrons with CrCl3 via a chloride bridge, allowing all of the CrCl3 to react quickly. With the presence of some chromium(II), solid CrCl3 dissolves rapidly in water. Similarly, ligand substitution reactions of solutions of [CrCl2(H2O)4]+ are accelerated by chromium(II) catalysts.
With molten alkali metal chlorides such as potassium chloride, CrCl3 gives salts of the type M3[CrCl6] and K3[Cr2Cl9], which is also octahedral but where the two chromiums are linked via three chloride bridges.
The hexahydrate can also be dehydrated with thionyl chloride:[13]
- CrCl3·6H2O + 6 SOCl2 → CrCl3 + 6 SO2 + 12 HCl
Complexes with organic ligands
CrCl3 is a Lewis acid, classified as "hard" according to the Hard-Soft Acid-Base theory. It forms a variety of adducts of the type [CrCl3L3]q+, where L is a Lewis base. For example, it reacts with pyridine (C5H5N) to form the pyridine complex:
- CrCl3 + 3 C5H5N → CrCl3(C5H5N)3
Treatment with trimethylsilylchloride in THF gives the anhydrous THF complex:[14]
- CrCl3·6H2O + 12 (CH3)3SiCl → CrCl3(THF)3 + 6 ((CH3)3Si)2O + 12 HCl
Precursor to organochromium complexes
Chromium(III) chloride is used as the precursor to many organochromium compounds, for example bis(benzene)chromium, an analogue of ferrocene:
Phosphine complexes derived from CrCl3 catalyse the trimerization of ethylene to 1-hexene.[15][16]
Use in organic synthesis
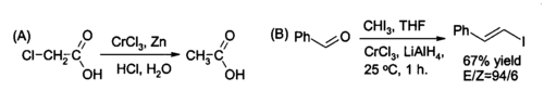
One niche use of CrCl3 in organic synthesis is for the in situ preparation of chromium(II) chloride, a reagent for the reduction of alkyl halides and for the synthesis of (E)-alkenyl halides. The reaction is usually performed using two moles of CrCl3 per mole of lithium aluminium hydride, although if aqueous acidic conditions are appropriate zinc and hydrochloric acid may be sufficient.
Chromium(III) chloride has also been used as a Lewis acid in organic reactions, for example to catalyse the nitroso Diels-Alder reaction.[17]
Dyestuffs
A number of chromium-containing dyes are used commercially for wool. Typical dyes are triarylmethanes consisting of ortho-hydroxylbenzoic acid derivatives.[18]
Precautions
Although trivalent chromium is far less poisonous than hexavalent, chromium salts are generally considered toxic.
References
- ^ "Chromium(III) chloride sublimation, 99 10025-73-7".
- ^ "Chromium(III) chloride hexahydrate Technipur™ | Sigma-Aldrich". Retrieved 2022-08-16.
- ^ a b c NIOSH Pocket Guide to Chemical Hazards. "#0141". National Institute for Occupational Safety and Health (NIOSH).
- ^ "Chromium(III) compounds [as Cr(III)]". Immediately Dangerous to Life or Health Concentrations. National Institute for Occupational Safety and Health.
- ^ Cameo Chemicals MSDS
- ^ a b Kazim, S; Alì, M; Palleschi, S; D’Olimpio, G; Mastrippolito, D; Politano, A; Gunnella, R; Di Cicco, A; Renzelli, M; Moccia, G; Cacioppo, O A; Alfonsetti, R; Strychalska-Nowak, J; Klimczuk, T; J Cava, R (2020-07-06). "Mechanical exfoliation and layer number identification of single crystal monoclinic CrCl3". Nanotechnology. 31 (39): 395706. doi:10.1088/1361-6528/ab7de6. hdl:11581/438597. ISSN 0957-4484.
- ^ Greenwood, Norman N.; Earnshaw, Alan (1997). Chemistry of the Elements (2nd ed.). Butterworth-Heinemann. p. 1020. doi:10.1016/C2009-0-30414-6. ISBN 978-0-08-037941-8.
- ^ A. F. Wells, Structural Inorganic Chemistry, 5th ed., Oxford University Press, Oxford, UK, 1984.
- ^ Meiling Hong (2022). "Pressure-Induced Structural Phase Transition and Metallization of CrCl3 under Different Hydrostatic Environments up to 50.0 GPa". Inorg. Chem. 61 (12): 4852–4864. doi:10.1021/acs.inorgchem.1c03486. PMID 35289613. S2CID 247452267.
- ^ Ian G. Dance, Hans C. Freeman "The Crystal Structure of Dichlorotetraaquochromium(III) Chloride Dihydrate: Primary and Secondary Metal Ion Hydration" Inorganic Chemistry 1965, volume 4, 1555–1561. doi:10.1021/ic50033a006
- ^ D. Nicholls, Complexes and First-Row Transition Elements, Macmillan Press, London, 1973.
- ^ Brauer, Georg (1965) [1962]. Handbuch Der Präparativen Anorganischen Chemie [Handbook of Preparative Inorganic Chemistry] (in German). Vol. 2. Stuttgart; New York, New York: Ferdinand Enke Verlag; Academic Press, Inc. p. 1340. ISBN 978-0-32316129-9. Retrieved 2014-01-10.
- ^ Pray, A. P. (1990). "Anhydrous Metal Chlorides". Inorganic Syntheses. Inorganic Syntheses. Vol. 28. pp. 321–2. doi:10.1002/9780470132401.ch36. ISBN 9780470132401.
- ^ Boudjouk, Philip; So, Jeung-Ho (1992). "Solvated and Unsolvated Anhydrous Metal Chlorides from Metal Chloride Hydrates". Inorganic Syntheses. Inorganic Syntheses. Vol. 29. pp. 108–111. doi:10.1002/9780470132609.ch26. ISBN 9780470132609.
- ^ John T. Dixon, Mike J. Green, Fiona M. Hess, David H. Morgan "Advances in selective ethylene trimerisation – a critical overview" Journal of Organometallic Chemistry 2004, Volume 689, pp 3641-3668. doi:10.1016/j.jorganchem.2004.06.008
- ^ Feng Zheng, Akella Sivaramakrishna, John R. Moss "Thermal studies on metallacycloalkanes" Coordination Chemistry Reviews 2007, Volume 251, 2056-2071. doi:10.1016/j.ccr.2007.04.008
- ^ Calvet, G.; Dussaussois, M.; Blanchard, N.; Kouklovsky, C. (2004). "Lewis Acid-Promoted Hetero Diels-Alder Cycloaddition of α-Acetoxynitroso Dienophiles". Organic Letters. 6 (14): 2449–2451. doi:10.1021/ol0491336. PMID 15228301.
- ^ Thomas Gessner and Udo Mayer "Triarylmethane and Diarylmethane Dyes" in Ullmann's Encyclopedia of Industrial Chemistry 2002, Wiley-VCH, Weinheim. doi:10.1002/14356007.a27_179
Further reading
- Handbook of Chemistry and Physics, 71st edition, CRC Press, Ann Arbor, Michigan, 1990.
- The Merck Index, 7th edition, Merck & Co, Rahway, New Jersey, USA, 1960.
- J. March, Advanced Organic Chemistry, 4th ed., p. 723, Wiley, New York, 1992.
- K. Takai, in Handbook of Reagents for Organic Synthesis, Volume 1: Reagents, Auxiliaries and Catalysts for C-C Bond Formation, (R. M. Coates, S. E. Denmark, eds.), pp. 206–211, Wiley, New York, 1999.
-chloride-purple-anhydrous-sunlight.jpg)






