Minoxidil
![]() | |
![]() | |
| Clinical data | |
|---|---|
| Trade names | Loniten, Rogaine, others |
| Other names | U-10858; U-10,858; U10858; 2,4-Diamino-6-piperidinopyrimidine 3-oxide |
| AHFS/Drugs.com | Monograph |
| MedlinePlus | a682608 |
| License data |
|
| Pregnancy category |
|
| Routes of administration | Oral, sublingual, topical (solution, foam, spray)[2][3][4] |
| Drug class | Potassium channel opener; KATP channel opener |
| ATC code | |
| Legal status | |
| Legal status | |
| Pharmacokinetic data | |
| Bioavailability | Oral: ≥90% (absorption)[4][12][13] Topical: ~1.2–1.4%[4] |
| Protein binding | Minimal or negligible[4][12] |
| Metabolism | Primarily liver via glucuronidation, hydroxylation, and sulfation (SULT1A1, SULT2A1)[4][12][13][16] |
| Metabolites | • Minoxidil glucuronide[14] • Minoxidil sulfate[4][2] |
| Onset of action | Oral: 30–60 minutes (peak)[4][12][13] Sublingual: 30 minutes[15] |
| Elimination half-life | Oral: 3–4 hours[4][12][13] Topical: 22 hours[2] |
| Duration of action | Oral: ~72 hours[14] Topical: 10–12 hours[2] |
| Excretion | Urine: >97% (10–15% unchanged; within 12–20 hours for oral and 4 days for topical)[2][3][4] |
| Identifiers | |
IUPAC name
| |
| CAS Number | |
| PubChem CID | |
| IUPHAR/BPS | |
| DrugBank | |
| ChemSpider | |
| UNII | |
| KEGG | |
| ChEBI | |
| ChEMBL | |
| PDB ligand | |
| CompTox Dashboard (EPA) | |
| ECHA InfoCard | 100.048.959 |
| Chemical and physical data | |
| Formula | C9H15N5O |
| Molar mass | 209.253 g·mol−1 |
| 3D model (JSmol) | |
| Melting point | 248 °C (478 °F) |
| Solubility in water | < 1 |
SMILES
| |
InChI
| |
Minoxidil, sold under the brand names Loniten and Rogaine among others, is a medication used for the treatment of high blood pressure and pattern hair loss.[7][8][9] It is an antihypertensive and a vasodilator.[17] It is available as a generic medication by prescription in oral tablet form and over-the-counter as a topical liquid or foam.[10][11][18][19]
Medical uses
High blood pressure
Minoxidil, when used for hypertension, is generally reserved for use in severe hypertension patients who do not respond to at least two agents and a diuretic.[20] Minoxidil is also generally administered with a loop diuretic to prevent sodium retention and potassium retention.[20] It may also cause a reflex tachycardia and thus is prescribed with a beta blocker.[20]
Hair loss
Minoxidil, when applied topically, is used for the treatment of hair loss.[21] It is effective in helping promote hair growth in people with androgenic alopecia regardless of sex.[21] Minoxidil must be used indefinitely for continued support of existing hair follicles and the maintenance of any experienced hair regrowth.[8][9]
Low-dose oral minoxidil (LDOM) is used off-label against hair loss and to promote hair regrowth.[22] Oral minoxidil is an effective and well-tolerated treatment alternative for patients having difficulty with topical formulations.[23][24][25]
Minoxidil requires at least 2 to 4 months before the first benefits on hair growth can be observed.[2] Maximal effectiveness occurs after 12 months.[2]
Available forms
Minoxidil is available in the form of oral tablets, topical solution, topical foam, and topical spray.[4] The tablets include 2.5 and 10 mg forms, the solutions include 2% and 5% forms, and the foam and spray are both 5% concentration.[2][4] The topical solutions are formulated with polyethylene glycol (PEG) to enhance absorption of minoxidil.[4] The topical solution is often referred to as minoxidil topical solution (MTS) and the topical foam is known as minoxidil topical foam (MTF).[2]
Side effects

Side effects of oral minoxidil may include swelling of the face and extremities, rapid heartbeat, or lightheadedness. Cardiac lesions, such as focal necrosis of the papillary muscle and subendocardial areas of the left ventricle, have been observed in laboratory animals treated with minoxidil.[10] Pseudoacromegaly is an extremely rare side effect reported with large doses of oral minoxidil.[27]
Topically applied minoxidil is generally well tolerated, but common side effects include itching of the eyes, general itching, irritation at the treated area, and unwanted hair growth elsewhere on the body.[28] Alcohol and propylene glycol present in some topical preparations may dry the scalp, resulting in dandruff and contact dermatitis.[29]
Sublingual minoxidil may have reduced side effects with retained effectiveness compared to oral minoxidil.[16][30][15] This is due to less minoxidil sulfate being formed during first-pass metabolism and due to local activation of minoxidil into minoxidil sulfate within hair follicles.[16][30][15] In a preliminary clinical trial, no adverse effects or changes in blood pressure occurred with low-dose sublingual minoxidil.[30][15]
Minoxidil has been implicated in causing pericardial effusions[31] including life-threatening cases of cardiac tamponade.[32] There have been case reports dating back to the 1980s describing this phenomenon, including topical[32] and oral formulations.[33] The frequency of these occurrences has previously been reported at 3%, but the true frequency is difficult to determine as a large proportion of patients in this cohort also had renal insufficiency and may have had an effusion preceding the use of minoxidil.[34]
Overdose
In 2013 or 2014, a seven-year-old girl was admitted to a children's hospital in Toulouse in France after accidentally ingesting a teaspoon of Alopexy (a brand name for minoxidil in France). The child vomited constantly after ingestion and showed hypotension and tachycardia for 40 hours.[35] The authors of the report on the incident stressed that the product should be kept out of reach of children, and urged manufacturers to consider more secure child-resistant packaging.[36]
Interactions
Combination of oral minoxidil with guanethidine can result in profound orthostatic hypotension.[12]
Low-dose daily aspirin can reduce the effectiveness of topical minoxidil for hair loss.[37][3][38] This is thought to be because aspirin inhibits sulfotransferase activity and hence prevents conversion of minoxidil into its active form minoxidil sulfate.[37][3][38] Salicylic acid is also a sulfotransferase inhibitor and could likewise affect the effectiveness of topical minoxidil.[37][38] In addition, paracetamol (acetaminophen) is a sulfate scavenger and may inhibit minoxidil activation into minoxidil sulfate and effectiveness.[3][39]
Pharmacology
Pharmacodynamics
The mechanism by which minoxidil promotes hair growth is not fully understood. Minoxidil is an adenosine 5'-triphosphate-sensitive potassium channel opener,[40] causing hyperpolarization of cell membranes. Theoretically, by widening blood vessels and opening potassium channels, it allows more oxygen, blood, and nutrients to the follicles. Moreover, minoxidil contains a nitric oxide moiety and may act as a nitric oxide agonist. This may cause follicles in the telogen phase to shed, which are then replaced by thicker hairs in a new anagen phase. Minoxidil is a prodrug that is converted by sulfation via the sulfotransferase enzyme SULT1A1 to its active form, minoxidil sulfate. The effect of minoxidil is mediated by adenosine, which triggers intracellular signal transduction via both adenosine A1 receptors and two sub-types of adenosine A2 receptors (A2A and A2B receptors).[41] Minoxidil acts as an activator of the Kir6/SUR2 channel upon selective binding to SUR2.[42] The expression of SUR2B in dermal papilla cells might play a role in the production of adenosine.[41] Minoxidil induces cell growth factors such as VEGF, HGF, IGF-1 and potentiates HGF and IGF-1 actions by the activation of uncoupled sulfonylurea receptor on the plasma membrane of dermal papilla cells.[43]
A number of in vitro effects of minoxidil have been described in monocultures of various skin and hair follicle cell types including stimulation of cell proliferation, inhibition of collagen synthesis, and stimulation of vascular endothelial growth factor, prostaglandin synthesis and leukotriene B4 expression.[44]
Minoxidil causes a redistribution of cellular iron through its apparent capacity to bind this metal ion. By binding iron in a Fenton-reactive form, intracellular hydroxyl radical production would ensue, but hydroxyl would be immediately trapped and scavenged by the minoxidil to generate a nitroxyl radical. It is presumed that this nitroxyl radical will be capable of reduction by glutathione to reform minoxidil. Such a process would cycle until the minoxidil is otherwise metabolized and would result in rapid glutathione depletion with glutathione disulphide formation and therefore with concomitant consumption of NADPH/NADH and other reducing equivalents.[45] Minoxidil inhibited PHD by interfering with the normal function of ascorbate, a cofactor of the enzyme, leading to a stabilization of HIF-1α protein and a subsequent activation of HIF-1. In an in vivo angiogenesis assay, millimolar minoxidil increased blood vessel formation in a VEGF-dependent manner. Minoxidil inhibition of PHD occurs via interrupting ascorbate binding to iron.[46] The structural feature of positioning amines adjacent to nitric oxide may confer the ability of millimolar minoxidil to chelate iron, thereby inhibiting PHD. Minoxidil is capable of tetrahydrobiopterin inhibition as a cofactor for nitric oxide synthase.[47]
Minoxidil stimulates prostaglandin E2 production by activating COX-1[48] and prostaglandin endoperoxide synthase-1 but inhibits prostacyclin production. Additionally, expression of the prostaglandin E2 receptor, the most upregulated target gene in the β-catenin pathway of DP cells, was enhanced by minoxidil, which may enable hair follicles to grow continuously and maintain the anagen phase.[49]
Due to the anti-fibrotic activity of minoxidil inhibition of enzyme lysyl hydroxylase present in fibroblast may result in the synthesis of a hydroxylysine-deficient collagen. Minoxidil can also potentially stimulate elastogenesis in aortic smooth muscle cells, and in skin fibroblasts in a dose-dependent manner. In hypertensive rats, minoxidil increases elastin levels in the mesenteric, abdominal, and renal arteries by a decrease in elastase enzyme activity in these tissues. In rats, potassium channel openers decrease calcium influx which inhibits elastin gene transcription through extracellular signal-regulated kinase 1/2 (ERK 1/2)-activator protein 1 signaling pathway. ERK 1/2 increases, through elastin gene transcription, adequately cross-linked elastic fiber content synthesized by smooth muscle cells, and decreases the number of cells in the aorta.[50]
Minoxidil possesses α2-adrenergic receptor agonist activity,[51] stimulates the peripheral sympathetic nervous system (SNS) by way of carotid and aortic baroreceptor reflexes. Minoxidil administration also brings an increase in plasma renin activity, largely due to the aforementioned activation of the SNS. This activation of the renin-angiotensin axis further prompts increased biosynthesis of aldosterone; whereas plasma and urinary aldosterone levels are increased early in the course of treatment with minoxidil, over time these values tend to normalize presumably because of accelerated metabolic clearance of aldosterone in association with hepatic vasodilation.[20]
Minoxidil may be involved in the inhibition of serotonin 5-HT2 receptors.[52]
Minoxidil might increase blood-tumor barrier permeability in a time-dependent manner by down-regulating tight junction protein expression and this effect could be related to ROS/RhoA/PI3K/PKB signal pathway.[53] Minoxidil significantly increases ROS concentration when compared to untreated cells.
Minoxidil treatment resulted in a 0.22 fold change for 5α-R2 (p < 0.0001) in vitro. This antiandrogenic effect of minoxidil, shown by significant downregulation of 5α-R2 gene expression in HaCaT cells, may be one of its mechanisms of action in alopecia.[54]
Minoxidil is less effective when the area of hair loss is large. In addition, its effectiveness has largely been demonstrated in younger men who have experienced hair loss for less than 5 years. Minoxidil use is indicated for central (vertex) hair loss only.[55] Two clinical studies are being conducted in the US for a medical device that may allow patients to determine if they are likely to benefit from minoxidil therapy.[56]
The effects of minoxidil have been found to mimic the symptoms of Cantú syndrome, which involves gain-of-function mutations in KATP channel subunits (specifically SUR2 and KIR6.1).[13][57][58] Examples of these minoxidil effects include hypertrichosis, pulmonary hypertension, edema, and coarsening of facial features, among others.[57] Relatedly, there has been concern that excessive doses of minoxidil and other KATP potassium channel openers might cause a "drug-induced Cantú syndrome".[57]
Pharmacokinetics
Absorption
Minoxidil is readily absorbed from the gastrointestinal tract with oral administration.[4] Its absorption from the gut is around 90% or more.[4][12][13] The drug reaches peak levels after about 30 to 60 minutes.[4][12][13][59] Following attainment of peak levels, concentrations of minoxidil rapidly decline.[12] Sublingual minoxidil is expected to have higher bioavailability than topical minoxidil.[16][60] Peak levels with sublingual administration occurred after 30 minutes.[15] The bioavailability of oral minoxidil is not affected by food and it can be taken in either a fasted or fed state.[14]
In the case of topical administration to the scalp, the absorption of minoxidil is only about 1.2 to 1.4%.[4] With this route, serum levels of minoxidil are usually less than 5 ng/mL and are frequently undetectable.[4] It has been predicted that application of 5% topical minoxidil twice to the entire scalp might be equivalent to a single 5.4 mg oral dose of minoxidil in terms of systemic exposure.[4][61] The stratum corneum of the scalp is saturated by minoxidil and acts as a reservoir for the drug.[2] This results in a continuous flow of minoxidil in the scalp, with absorption being completed after about 10 to 12 hours.[2] Based on these findings, topical minoxidil is generally applied twice daily.[2] A wet scalp has been found to increase the absorption of topical minoxidil.[2]
Peak levels of minoxidil with oral minoxidil were 16.8 ng/mL with 2.5 mg, 37.2 ng/mL with 5 mg, and 74.7 ng/mL with 10 mg doses.[14][59] Mean peak minoxidil levels with a single 0.45 mg dose of sublingual minoxidil were 1.62 ng/mL (range 0.3–5.3 ng/mL).[15] Circulating levels of 0.6 ng/mL with 2% solution and 1.6 ng/mL with 5% solution occur with topical minoxidil.[2] However, levels vary between individuals, with a range of undetectable to 7.5 ng/mL with 3% solution in 12 individuals in one study.[4][62] Significant cardiological and hemodynamic effects are said to occur with minoxidil when serum minoxidil levels exceed 20 ng/mL.[2][63]
Distribution
The volume of distribution of oral minoxidil is greater than 200 L.[14] Minoxidil does not cross the blood–brain barrier and hence is peripherally selective.[4][14][12] It shows minimal or negligible plasma protein binding.[4][14][12]
Metabolism
Minoxidil is a prodrug of minoxidil sulfate, which can be formed both systemically and locally within hair follicles.[4][2][39] This active metabolite is 14-fold more potent than minoxidil in stimulating cysteine incorporation in cultured rodent hair follicles ex vivo.[2][39] Similarly to minoxidil, it also stimulates hair follicle growth.[2][39] Minoxidil is sulfated into minoxidil sulfate by at least four cytosolic sulfotransferase enzymes found in skin, scalp, smooth muscle, liver, and fibroblasts.[2] The primary sulfotransferase involved in sulfation of minoxidil in hair follicles is SULT1A1, whereas in the liver, it is SULT2A1.[4][16] Expression of this enzyme has been found to predict the effectiveness of topical minoxidil.[4]
Oral minoxidil is subject to first-pass metabolism, including rapid and extensive metabolism in the liver.[2] A majority of orally administered minoxidil, about 90%, is metabolized in the liver via glucuronidation, hydroxylation, and sulfation, with glucuronidation being the primary metabolic pathway and minoxidil glucuronide being the predominant metabolite of minoxidil.[4][14][12][13] Conversely, topical minoxidil bypasses the first pass through the liver and is not subject to first-pass metabolism.[2] Similarly, sublingual minoxidil also bypasses first-pass metabolism.[16][30][60]
Elimination
Minoxidil is excreted almost exclusively (>97%) in urine.[2] About 10 to 15% is excreted in urine unchanged.[3] The elimination half-life of oral minoxidil is about 3 to 4 hours.[4][12][13] Conversely, the half-life of topical minoxidil is 22 hours on average.[2] Oral minoxidil is excreted within 12 to 20 hours in urine.[4] Despite this however, the hypotensive effect of oral minoxidil lasts approximately 72 hours following a single dose.[14] With discontinuation of topical minoxidil, about 95% of systemically absorbed minoxidil is excreted within 4 days.[4] The renal clearance of oral minoxidil is 352 mL/minute.[14]
Chemistry
Properties
Minoxidil is an odorless, white to off-white, crystalline powder (crystals from methanol-acetonitrile). When heated to decomposition it emits toxic fumes of nitrogen oxides. It decomposes at 259-261 °C.[64] Its solubility (mg/ml) is propylene glycol 75, methanol 44, ethanol 29, 2-propanol 6.7, dimethylsulfoxide 6.5, water 2.2, chloroform 0.5, acetone <0.5, ethyl acetate <0.5, diethyl ether <0.5, benzene <0.5, acetonitrile <0.5. The pKa of minoxidil is 4.61.
Synthesis

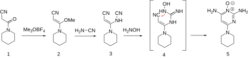
Minoxidil, 6-amino-1,2-dihydro-1-hydroxy-2-imino-4-piperidinopyrimidine, is synthesized from barbituric acid, the reaction of which with phosphorus oxychloride gives 2,4,6-trichloropyrimidine. Upon reaction with ammonium, this turns into 2,4-diamino-6-chloropyrimidine. Next, the resulting 2,4-diamino-6-chloropyrimidine undergoes a reaction with 2,4-dichlorophenol in the presence of potassium hydroxide, giving 2,4-diamino-6-(2,4-dichlorophenoxy)-pyrimidine. Oxidation of this product with 3-chloroperbenzoic acid gives 2,4-diamino-6-(2,4-dichlorophenoxy)pyrimidine-3-oxide, the 2,4-dichlorophenoxyl group of which is replaced with a piperidine group at high temperature, giving minoxidil.[66]
History
Initial development
Minoxidil was developed in the late 1950s by the Upjohn Company (later became part of Pfizer) to treat ulcers. In trials using dogs, the compound did not cure ulcers but proved to be a powerful vasodilator. Upjohn synthesized over 200 variations of the compound, including the one it developed in 1963 and named minoxidil.[67] These studies resulted in the U.S. Food and Drug Administration (FDA) approving minoxidil (with the brand name Loniten) in the form of oral tablets to treat high blood pressure in 1979.[68][69]
Repurposing for hair growth
When Upjohn received permission from the U.S. Food and Drug Administration (FDA) to test the new drug as medicine for hypertension they approached Charles A. Chidsey, at the University of Colorado School of Medicine.[67] He conducted two studies,[70][71] the second study showing unexpected hair growth. Puzzled by this side-effect, Chidsey consulted Guinter Kahn (who while a dermatology resident at the University of Miami had been the first to observe and report hair development on patients using the minoxidil patch) and discussed the possibility of using minoxidil for treating hair loss.
Kahn, along with his colleague Paul J. Grant, had obtained a certain amount of minoxidil and conducted their own research, since they were first to make the side effect observation. Neither Upjohn or Chidsey at the time were aware of the side effect of hair growth.[72] The two doctors had been experimenting with a 1% solution of minoxidil mixed with several alcohol-based liquids.[73] Both parties filed patents to use minoxidil for hair loss prevention, which resulted in a decade-long trial between Kahn and Upjohn, which ended with Kahn's name included in a consolidated patent (U.S. #4,596,812 Charles A Chidsey, III and Guinter Kahn) in 1986 and royalties from the company to both Kahn and Grant.[72]
Meanwhile, the effect of minoxidil on hair loss prevention was so clear that in the 1980s physicians were prescribing Loniten off-label to their balding patients.[69]
In August 1988, the FDA approved minoxidil for treating baldness in men[69][73] under the brand name "Rogaine" (FDA rejected Upjohn's first choice, Regain, as misleading[74]). The agency concluded that although "the product will not work for everyone", 39% of the men studied had "moderate to dense hair growth on the crown of the head".[74] "Men's Rogaine", marketed by Johnson & Johnson went off-patent on January 20, 2006.[75]
In 1991, Upjohn made the product available for women.[73] "Women's Rogaine", marketed by Johnson & Johnson, went off-patent in February 2014.[75]
Society and culture
Economics
In February 1996, the FDA approved both the over-the-counter sale and the production of generic formulations of minoxidil.[69] Upjohn replied to that by lowering prices to half the price of the prescription drug[73] and by releasing a prescription 5% formula of Rogaine in 1997.[69][76] In 1998, a 5% formulation of minoxidil was approved for nonprescription sale by the FDA.[77] The 5% aerosol foam formula was approved for medical use in the US in 2006.[78][79] The generic versions of the 5% aerosol foam formula were approved in 2017.[80][81]
In 2017, a study of pharmacy prices in four states for 41 over-the-counter minoxidil products which were "gender-specified" found that the mean price for minoxidil solutions was the same for women and men even though the women's formulations were 2% and the men's were 5%, while the mean price for minoxidil foams, which were all 5%, was 40% higher for women. The authors noted this was the first time gender-based pricing had been shown for a medication.[82]
Brand names
As of June 2017, Minoxidil is sold under many brand names worldwide, including but not limited to: Alomax, Alopek, Alopexy, Alorexyl, Alostil, Aloxid, Aloxidil, Anagen, Apo-Gain, Axelan, Belohair, Boots Hair Loss Treatment, Botafex, Capillus, Carexidil, Coverit, Da Fei Xin, Dilaine, Dinaxcinco, Dinaxil, Ebersedin, Eminox, Folcare, Follixil, Guayaten, Hair Grow, Hair-Treat, Hairgain, Hairgaine, Hairgrow, Hairway, Headway, Inoxi, Ivix, Keranique, Lacovin, Locemix, Loniten, Lonnoten, Lonolox, Lonoten, Loxon, M E Medic, Maev-Medic, Mandi, Manoxidil, Mantai, Men's Rogaine, Minodil, Minodril, Minostyl, Minovital, Minox, Minoxi, Minoxidil, Minoxidilum, Minoximen, Minoxiten, Minscalp, Mintop, Modil, Morr, Moxidil, Neo-Pruristam, Neocapil, Neoxidil, Nherea, Nioxin, Noxidil, Oxofenil, Pilfud, Pilogro, Pilomin, Piloxidil, Re-Stim, Re-Stim+, Recrea, Regain, Regaine, Regaxidil, Regro, Regroe, Regrou, Regrowth, Relive, Renobell Locion, Reten, Rexidil, Rogaine, Rogan, Scalpmed, Si Bi Shen, Splendora, Superminox, Trefostil, Tricolocion, Tricoplus, Tricovivax, Tricoxane, Trugain, Tugain, Unipexil, Vaxdil, Vius, Women's Regaine, Xenogrow, Xtreme Boost, Xtreme Boost+, Xue Rui, Ylox, and Zeldilon.[83] It is also sold as a combination medication with amifampridine under the brand names Gainehair and Hair 4 U; and as a combination with tretinoin and clobetasol under the brand name Sistema GB.[83]
Research
Hair loss
An extended-release formulation of low-dose oral minoxidil is under development for treatment of hair loss.[84][85][86][87] It is being developed by Veradermics under the developmental code name VDPHL01.[84][85][86][87] As of September 2025, it is in phase 3 clinical trials for this indication.[84][86][87]
A low-dose sublingual formulation of minoxidil is under development for treatment of hair loss.[88][89][90] It is being developed by Samson Clinical.[88][89][90] As of September 2025, it is in phase 3 clinical trials for this indication.[88][89][90] The pharmacokinetics of this formulation are being studied.[91]
Finasteride/latanoprost/minoxidil (developmental code name TH-07 or TH07; Triple Hair) is a topical combination drug including minoxidil, finasteride, and latanoprost which is under development for the treatment of hair loss.[92][93] As of December 2023, it is in phase 2 clinical trials for this indication.[92]
AB-103 is a minoxidil sulfotransferase stimulant which enhances minoxidil conversion into its active form minoxidil sulfate in hair follicles and is under development as a topical medication for the treatment of hair loss.[94] Sulfotransferase activity in hair follicles has been associated with minoxidil's clinical effectiveness.[95][2] As of February 2024, AB-103 is in phase 3 clinical trials for this indication, although there have been no new updates since 2019.[94]
Beard growth
Minoxidil has been studied for enhancement of facial hair or beard growth in transgender men.[96][97][98]
Nail problems
Minoxidil has been studied in the treatment of onychodystrophy (nail problems).[99] A 2025 systematic review found that it has been assessed in at least 6 clinical studies for this purpose and that the employed formulations included 2 to 5% topical minoxidil and 1.25 to 2.5 mg/day oral minoxidil.[99] The drug has been found to increase the rate of nail growth, improve nail appearance, increase nail strength, and resolve yellow nail discoloration.[99]
Other uses
Minoxidil is being investigated as a potential treatment for ovarian cancer.[100]
Toxicity to animals
Minoxidil is highly toxic to dogs and cats, even in doses as small as a drop or lick.[101] There are reported cases of cats dying shortly after coming in contact with minimal amounts of the substance.[102]
There is no specific antidote, but lipid rescue has been used successfully.[103][104]
References
- ^ a b "Loniten Product Information". Therapeutic Goods Administration (TGA). Archived from the original on August 16, 2021. Retrieved August 15, 2021.
- ^ a b c d e f g h i j k l m n o p q r s t u v w x Anastassakis K (2022). "Minoxidil". Androgenetic Alopecia From A to Z. Cham: Springer International Publishing. pp. 11–39. doi:10.1007/978-3-031-08057-9_1. ISBN 978-3-031-08056-2. Retrieved October 23, 2025.
- ^ a b c d e f Olsen EA, Sinclair R, Hordinsky M, Mesinkovska NA, Sadick N, Shapiro J, et al. (August 2025). "Summation and recommendations for the safe and effective use of topical and oral minoxidil". J Am Acad Dermatol. 93 (2): 457–465. doi:10.1016/j.jaad.2025.04.016. PMID 40216195.
- ^ a b c d e f g h i j k l m n o p q r s t u v w x y z aa ab Gupta AK, Talukder M, Venkataraman M, Bamimore MA (June 2022). "Minoxidil: a comprehensive review". J Dermatolog Treat. 33 (4): 1896–1906. doi:10.1080/09546634.2021.1945527. PMID 34159872.
- ^ "59445 WOMEN'S REGAINE EXTRA STRENGTH Minoxidil 5% application bottle". Therapeutic Goods Administration (TGA) / Australian Government Department of Health and Aged Care. Retrieved February 15, 2022.
- ^ "Search the TGA website". Tga-search.clients.funnelback.com. Archived from the original on August 16, 2021.
- ^ a b "Loniten Tablets 5mg - Summary of Product Characteristics (SmPC)". Medicines.org.uk. November 24, 2020. Archived from the original on August 16, 2021. Retrieved August 15, 2021.
- ^ a b c "Regaine for Men Extra Strength Scalp Foam 5% w/w Cutaneous Foam (GSL) - Summary of Product Characteristics (SmPC)". (emc). April 27, 2021. Archived from the original on August 16, 2021. Retrieved August 15, 2021.
- ^ a b c "Regaine for Women Once a Day Scalp Foam 5% w/w Cutaneous Foam - Summary of Product Characteristics (SmPC)". Medicines.org.uk. October 28, 2020. Archived from the original on August 16, 2021. Retrieved August 15, 2021.
- ^ a b c "Minoxidil tablet". DailyMed. Archived from the original on August 16, 2021. Retrieved August 15, 2021.
- ^ a b "Minoxidil aerosol, foam". DailyMed. Archived from the original on August 16, 2021. Retrieved August 15, 2021.
- ^ a b c d e f g h i j k l m n "Loniten minoxidil tablets, USP". DailyMed. Retrieved December 6, 2025.
- ^ a b c d e f g h i Ong MM, Li Y, Lipner SR (October 2025). "Oral Minoxidil for Alopecia Treatment: Risks, Benefits, and Recommendations". Am J Clin Dermatol. doi:10.1007/s40257-025-00990-4. PMID 41118052.
- ^ a b c d e f g h i j Gupta AK, Talukder M, Shemer A, Piraccini BM, Tosti A (December 2023). "Low-Dose Oral Minoxidil for Alopecia: A Comprehensive Review". Skin Appendage Disord. 9 (6): 423–437. doi:10.1159/000531890. PMC 10806356. PMID 38376087.
- ^ a b c d e f Bokhari L, Jones LN, Sinclair RD (January 2022). "Sublingual minoxidil for the treatment of male and female pattern hair loss: a randomized, double-blind, placebo-controlled, phase 1B clinical trial". J Eur Acad Dermatol Venereol. 36 (1): e62–e66. doi:10.1111/jdv.17623. PMID 34420241.
- ^ a b c d e f Modha JD, Pathania YS (November 2022). "Comprehensive review of oral minoxidil in alopecia". J Cosmet Dermatol. 21 (11): 5527–5531. doi:10.1111/jocd.15324. PMID 36065675.
Sublingual doses of 0.45 and 0.90 mg minoxidil were evaluated by Sinclair et al.31 as sublingual route bypasses hepatic first-pass metabolism, sublingual minoxidil could be used to increase follicular minoxidil sulfate bioavailability and thus hair growth. As hepatic sulphation of minoxidil enhances the hemodynamic effect, sublingual minoxidil would decrease the hemodynamic adverse effects and consequently improve safety profile.
- ^ "Vasodilators". mayoclinic.com. Archived from the original on March 9, 2011.
- ^ "Mens Rogaine Extra Strength Unscented- minoxidil solution". DailyMed. Archived from the original on August 16, 2021. Retrieved August 15, 2021.
- ^ "Womens Rogaine Unscented- minoxidil solution". DailyMed. Archived from the original on August 16, 2021. Retrieved August 15, 2021.
- ^ a b c d Sica DA (May 2004). "Minoxidil: an underused vasodilator for resistant or severe hypertension". Journal of Clinical Hypertension. 6 (5): 283–287. doi:10.1111/j.1524-6175.2004.03585.x. PMC 8109604. PMID 15133413.
- ^ a b Varothai S, Bergfeld WF (July 2014). "Androgenetic alopecia: an evidence-based treatment update". American Journal of Clinical Dermatology. 15 (3): 217–230. doi:10.1007/s40257-014-0077-5. PMID 24848508.
- ^ Kolata G (August 18, 2022). "An Old Medicine Grows New Hair for Pennies a Day, Doctors Say". The New York Times. Archived from the original on August 19, 2022.
- ^ Randolph M, Tosti A (March 2021). "Oral minoxidil treatment for hair loss: A review of efficacy and safety". Journal of the American Academy of Dermatology. 84 (3): 737–746. doi:10.1016/j.jaad.2020.06.1009. PMID 32622136.
- ^ Jimenez-Cauhe J, Saceda-Corralo D, Rodrigues-Barata R, Moreno-Arrones OM, Ortega-Quijano D, Fernandez-Nieto D, et al. (November 2020). "Safety of low-dose oral minoxidil treatment for hair loss. A systematic review and pooled-analysis of individual patient data". Dermatologic Therapy. 33 (6) e14106. doi:10.1111/dth.14106. PMID 32757405.
- ^ Sharma AN, Michelle L, Juhasz M, Muller Ramos P, Atanaskova Mesinkovska N (August 2020). "Low-dose oral minoxidil as treatment for non-scarring alopecia: a systematic review". International Journal of Dermatology. 59 (8): 1013–1019. doi:10.1111/ijd.14933. hdl:11449/198961. PMID 32516434.
- ^ Wu M, Yu Q, Li Q (December 2016). "Differences in reproductive toxicology between alopecia drugs: an analysis on adverse events among female and male cases". Oncotarget. 7 (50): 82074–82084. doi:10.18632/oncotarget.12617. PMC 5347675. PMID 27738338.
- ^ Nguyen KH, Marks JG (June 2003). "Pseudoacromegaly induced by the long-term use of minoxidil". Journal of the American Academy of Dermatology. 48 (6): 962–965. doi:10.1067/mjd.2003.325. PMID 12789195.
- ^ "Rogaine Side Effects". Drugs.com. Archived from the original on September 22, 2017. Retrieved December 8, 2020.
- ^ Pray WS (2001). "Dandruff and Seborrheic Dermatitis". US Pharmacist. 26 (4): 16–24. Archived from the original on October 28, 2010.
- ^ a b c d Saceda-Corralo D, Domínguez-Santas M, Vañó-Galván S, Grimalt R (January 2023). "What's New in Therapy for Male Androgenetic Alopecia?". Am J Clin Dermatol. 24 (1): 15–24. doi:10.1007/s40257-022-00730-y. PMID 36169916.
Sublingual minoxidil has been proposed as an alternative route of administration to obtain the same improvement in hair density with lower doses. Moreover, a sublingual dose would avoid hepatic first-pass metabolism and may reduce the AEs. The results of the first phase 1B clinical trial have recently been published [34]. Patients receiving sublingual minoxidil 0.45 mg daily had a significant improvement in hair density after 6 months. Higher doses (1.35 and 4.05 mg) were also effective. None of the patients reported AEs and investigators did not find significant changes in blood pressure.
- ^ "MINOXIDIL TABLETS USP".
- ^ a b Oye M, Oye M, Ali A (February 2021). "Signs of early cardiac tamponade induced by Minoxidil". The American Journal of Emergency Medicine. 40: 226.e1–226.e2. doi:10.1016/j.ajem.2020.07.050. PMID 32778436.
- ^ Houston MC, McChesney JA, Chatterjee K (January 1981). "Pericardial effusion associated with minoxidil therapy". Archives of Internal Medicine. 141 (1): 69–71. doi:10.1001/archinte.1981.00340010061014. PMID 7447585.
- ^ Martin WB, Spodick DH, Zins GR (1980). "Pericardial disorders occurring during open-label study of 1,869 severely hypertensive patients treated with minoxidil". Journal of Cardiovascular Pharmacology. 2 Suppl 2: S217–S227. doi:10.1097/00005344-198000022-00016. PMID 6156358.
- ^ Claudet I, Cortey C, Honorat R, Franchitto N (January 2015). "Minoxidil topical solution: an unsafe product for children". Pediatric Emergency Care. 31 (1): 44–46. doi:10.1097/PEC.0000000000000301. PMID 25426682.
- ^ Neumann J (December 10, 2014). "Hair loss treatment may be dangerous to kids". Reuters. Archived from the original on May 17, 2021. Retrieved March 23, 2021.
- ^ a b c Suchonwanit P, Thammarucha S, Leerunyakul K (2019). "Minoxidil and its use in hair disorders: a review". Drug Des Devel Ther. 13: 2777–2786. doi:10.2147/DDDT.S214907. PMC 6691938. PMID 31496654.
Salicylate and aspirin can inhibit sulfotransferase. A recent study showed that the follicular enzymatic activity decreased following 14 days of low-dose aspirin use. Thus, prior or concomitant use of aspirin decreases the clinical response to topical minoxidil.11
- ^ a b c Goren A, Sharma A, Dhurat R, Shapiro J, Sinclair R, Situm M, et al. (November 2018). "Low-dose daily aspirin reduces topical minoxidil efficacy in androgenetic alopecia patients". Dermatol Ther. 31 (6) e12741. doi:10.1111/dth.12741. PMID 30226287.
- ^ a b c d Buhl AE, Waldon DJ, Baker CA, Johnson GA (November 1990). "Minoxidil sulfate is the active metabolite that stimulates hair follicles". J Invest Dermatol. 95 (5): 553–557. doi:10.1111/1523-1747.ep12504905. PMID 2230218.
- ^ Wang T (February 2003). "The effects of the potassium channel opener minoxidil on renal electrolytes transport in the loop of henle". The Journal of Pharmacology and Experimental Therapeutics. 304 (2): 833–840. doi:10.1124/jpet.102.043380. PMID 12538840.
- ^ a b Li M, Marubayashi A, Nakaya Y, Fukui K, Arase S (December 2001). "Minoxidil-induced hair growth is mediated by adenosine in cultured dermal papilla cells: possible involvement of sulfonylurea receptor 2B as a target of minoxidil". The Journal of Investigative Dermatology. 117 (6): 1594–1600. doi:10.1046/j.0022-202x.2001.01570.x. PMID 11886528.
The expression of sulfonylurea receptor 2B and of the adenosine A1, A2A, and A2B receptors was detected in dermal papilla cells by means of reverse transcription polymerase chain reaction analysis.
- ^ Fukushiro-Lopes D, Hegel AD, Russo A, Senyuk V, Liotta M, Beeson GC, et al. (May 8, 2020). "Repurposing Kir6/SUR2 Channel Activator Minoxidil to Arrests Growth of Gynecologic Cancers". Frontiers in Pharmacology. 11 577. doi:10.3389/fphar.2020.00577. PMC 7227431. PMID 32457608.
- ^ Otomo S (March 2002). "[Hair growth effect of minoxidil]". Nihon Yakurigaku Zasshi. Folia Pharmacologica Japonica. 119 (3): 167–174. doi:10.1254/fpj.119.167. PMID 11915519.
- ^ Messenger AG, Rundegren J (February 2004). "Minoxidil: mechanisms of action on hair growth". The British Journal of Dermatology. 150 (2): 186–194. doi:10.1111/j.1365-2133.2004.05785.x. PMID 14996087.
- ^ Chung LY, Andrews AM, Schmidt RJ, Turner TD (1992). "Effects of minoxidil on cell proliferation and intracellular glutathione status of murine (L929) fibroblasts". In Harding KG, Leaper DL, Turner TD (eds.). Proceedings of the 1st European Conference on Advances in Wound Management, Cardiff, 4-6 September 1991. Macmillan Magazines. pp. 122–128. ISBN 978-0-333-58645-7.
- ^ Yum S, Jeong S, Kim D, Lee S, Kim W, Yoo JW, et al. (December 2017). "Minoxidil Induction of VEGF Is Mediated by Inhibition of HIF-Prolyl Hydroxylase". International Journal of Molecular Sciences. 19 (1): 53. doi:10.3390/ijms19010053. PMC 5796003. PMID 29295567.
- ^ US 5874433, Gross SS, "Blocking utilization of tetrahydrobiopterin to block induction of nitric oxide synthesis", published February 23, 1999
- ^ Hwang JH, Chu H, Ahn Y, Kim J, Kim DY (April 2019). "HMGB1 promotes hair growth via the modulation of prostaglandin metabolism". Scientific Reports. 9 (1) 6660. Bibcode:2019NatSR...9.6660H. doi:10.1038/s41598-019-43242-2. PMC 6491442. PMID 31040377.
- ^ Suchonwanit P, Thammarucha S, Leerunyakul K (2019). "Minoxidil and its use in hair disorders: a review". Drug Design, Development and Therapy. 13: 2777–2786. doi:10.2147/DDDT.S214907. PMC 6691938. PMID 31496654.
- ^ Kassai B, Bouyé P, Gilbert-Dussardier B, Godart F, Thambo JB, Rossi M, et al. (May 2019). "Minoxidil versus placebo in the treatment of arterial wall hypertrophy in children with Williams Beuren Syndrome: a randomized controlled trial". BMC Pediatrics. 19 (1) 170. doi:10.1186/s12887-019-1544-1. PMC 6537216. PMID 31138170.
- ^ Sharma N, Mehta AA, Santani DD, Goyal RK (September 1997). "Evidence for alpha 2-adrenoceptor agonist activity of minoxidil". The Journal of Pharmacy and Pharmacology. 49 (9): 935–937. doi:10.1111/j.2042-7158.1997.tb06139.x. PMID 9306265.
- ^ Wasiński R, Godlewski G, Wróbel B, Buckzko W (May 1995). "Interactions of minoxidil with vasoconstrictive agents in isolated rat tail artery". Acta Poloniae Pharmaceutica. 52 (3): 253–256. PMID 8960256.
- ^ Gu YT, Xue YX, Wang YF, Wang JH, Chen X, ShangGuan QR, et al. (December 2013). "Minoxidil sulfate induced the increase in blood-brain tumor barrier permeability through ROS/RhoA/PI3K/PKB signaling pathway". Neuropharmacology. 75: 407–415. doi:10.1016/j.neuropharm.2013.08.004. PMID 23973310.
- ^ Pekmezci E, Türkoğlu M (December 2017). "Minoxidil Acts as an Antiandrogen: A Study of 5α-reductase Type 2 Gene Expression in a Human Keratinocyte Cell Line". Acta Dermatovenerologica Croatica. 25 (4): 271–275. PMID 30064598.
- ^ Scow DT, Nolte RS, Shaughnessy AF (April 1999). "Medical treatments for balding in men". American Family Physician. 59 (8): 2189–94, 2196. PMID 10221304.
- ^ Clinical trial number NCT02198261 for "Minoxidil Response Testing in Males With Androgenetic Alopecia" at ClinicalTrials.gov
- ^ a b c McClenaghan C, Nichols CG (September 2022). "Kir6.1 and SUR2B in Cantú syndrome". Am J Physiol Cell Physiol. 323 (3): C920–C935. doi:10.1152/ajpcell.00154.2022. PMC 9467476. PMID 35876283.
As mentioned earlier, the hair-growth-promoting properties of minoxidil were clear from initial development. [...] Of concern, if excessive doses are used, even topically, there is the potential for minoxidil to have systemic effects—precipitating a possible "drug-induced Cantú syndrome." Indeed [pulmonary hypertension (PH)], edema, coarsening of facial features, and even reopening of the ductus arteriosus are associated with the Kir6.1/SUR2B active [potassium channel openers (KCOs)] minoxidil and diazoxide (156–158). Multiple KCOs induce and prolong anagen, the rapidly dividing stage of hair, in cultured follicles to promote growth, which can be reversed by the KATP inhibitor tolbutamide (86–88, 159). It is possible that CS-associated mutations have the same hair growth cycle effects, though this requires clarification. Thinking more broadly about the electrical consequences, KATP activation versus voltage-gated calcium channel (VGCC) activation would be expected to have opposing electrophysiological effects, and interestingly Timothy syndrome, caused by gain-of-function mutations in the VGCC, CaV1.2 is associated with baldness at birth (160), potentially the reverse mechanistic phenomenon.
- ^ Ohko K, Nakajima K, Nakajima H, Hiraki Y, Kubota K, Fukao T, et al. (March 2020). "Skin and hair abnormalities of Cantu syndrome: A congenital hypertrichosis due to a genetic alteration mimicking the pharmacological effect of minoxidil". The Journal of Dermatology. 47 (3): 306–310. doi:10.1111/1346-8138.15216. PMID 31907964.
- ^ a b Fleishaker JC, Andreadis NA, Welshman IR, Wright CE (February 1989). "The pharmacokinetics of 2.5- to 10-mg oral doses of minoxidil in healthy volunteers". J Clin Pharmacol. 29 (2): 162–167. doi:10.1002/j.1552-4604.1989.tb03307.x. PMID 2715373.
- ^ a b Sinclair R, Trindade de Carvalho L, Ferial Ismail F, Meah N (December 2020). "Treatment of male and female pattern hair loss with sublingual minoxidil: a retrospective case-series of 64 patients". J Eur Acad Dermatol Venereol. 34 (12): e795–e796. doi:10.1111/jdv.16616. hdl:11343/278543. PMID 32386429.
- ^ Franz TJ (February 1985). "Percutaneous absorption of minoxidil in man". Arch Dermatol. 121 (2): 203–206. doi:10.1001/archderm.1985.01660020061018. PMID 3977334.
- ^ Price VH (March 1987). "Double-blind, placebo-controlled evaluation of topical minoxidil in extensive alopecia areata". J Am Acad Dermatol. 16 (3 Pt 2): 730–736. doi:10.1016/s0190-9622(87)70095-4. PMID 3549809.
- ^ Ferry J, Turner S, Albert D, Dietz A, Luderer J (1996). "Hemodynamic effects of minoxidil following intravenous infusions in untreated hypertensive patients". Clinical Pharmacology & Therapeutics. 59 (2): 166. doi:10.1038/sj.clpt.1996.162. ISSN 0009-9236. Retrieved October 29, 2025.
- ^ "COMPOUND SUMMARY Minoxidil". PubChem - National Center for Biotechnology Information. Archived from the original on September 1, 2022. Retrieved September 25, 2022.
- ^ McCall JM, TenBrink RE, Ursprung JJ (October 1975). "A new approach to triaminopyrimidine n-oxides". The Journal of Organic Chemistry. 40 (22): 3304–3306. doi:10.1021/jo00910a040. PMID 1185310.
- ^ Vardanyan R, Hruby V (2006). "Antihypertensive Drugs". Synthesis of Essential Drugs. pp. 295–310. doi:10.1016/B978-044452166-8/50022-4. ISBN 978-0-444-52166-8.
- ^ a b Martin D (September 19, 2014). "Guinter Kahn, Inventor of Baldness Remedy, Dies at 80". The New York Times. Archived from the original on October 11, 2014. Retrieved May 11, 2015.
- ^ "Loniten: FDA-Approved Drugs". U.S. Food and Drug Administration (FDA). Archived from the original on December 28, 2021. Retrieved August 15, 2021.
- ^ a b c d e Conrad P (2008). "Rogaine". The Medicalization of Society: On the Transformation of Human Conditions into Treatable Disorders. JHU Press. pp. 37–38. doi:10.56021/9780801885846. ISBN 978-0-8018-9234-9.
- ^ Gilmore E, Weil J, Chidsey C (March 1970). "Treatment of essential hypertension with a new vasodilator in combination with beta-adrenergic blockade". The New England Journal of Medicine. 282 (10): 521–527. doi:10.1056/NEJM197003052821001. PMID 4391708.
- ^ Gottlieb TB, Katz FH, Chidsey CA (March 1972). "Combined therapy with vasodilator drugs and beta-adrenergic blockade in hypertension. A comparative study of minoxidil and hydralazine". Circulation. 45 (3): 571–582. doi:10.1161/01.CIR.45.3.571. PMID 4401051.
- ^ a b Goldfarb NM (March 2006). "When Patents Became Interesting in Clinical Research" (PDF). The Journal of Clinical Research Best Practices. 2 (3). Archived from the original (PDF) on May 18, 2015. Retrieved May 11, 2015.
- ^ a b c d Lester W (May 13, 1996). "Hair-raising tale: no fame for men who discovered Rogaine". The Daily Gazette. Archived from the original on July 4, 2022. Retrieved May 11, 2015.
- ^ a b Kuntzman G (2001). Hair!: Mankind's Historic Quest to End Baldness. Random House Publishing Group. p. 172. ISBN 978-0-679-64709-6. Retrieved May 11, 2015. (Google Books)
- ^ a b "Generic MINOXIDIL INN equivalents, pharmaceutical patent expiry and freedom to operate". Deep knowledge on small-molecule drugs and the global patents covering them. Archived from the original on February 23, 2023. Retrieved February 23, 2023.
- ^ "Drug Approval Package: Rogaine NDA# 020834". U.S. Food and Drug Administration (FDA). August 8, 2003. Archived from the original on September 27, 2021. Retrieved August 15, 2021.
- ^ Pray SW (2006). Nonprescription Product Therapeutics. Lippincott Williams & Wilkins. p. 663. ISBN 978-0-7817-3498-1. Archived from the original on August 29, 2024. Retrieved May 11, 2015. (Google Books)
- ^ "Drug Approval Package: Men's Rogaine (5% Minoxidil) NDA #021812". U.S. Food and Drug Administration (FDA). May 6, 2008. Archived from the original on August 6, 2021. Retrieved August 15, 2021.
- ^ "Rogaine: FDA-Approved Drugs". U.S. Food and Drug Administration (FDA). Archived from the original on August 16, 2021. Retrieved August 15, 2021.
- ^ "Minoxidil: FDA-Approved Drugs". U.S. Food and Drug Administration (FDA). Archived from the original on August 16, 2021. Retrieved August 15, 2021.
- ^ "CDER 2017 First Generic Drug Approvals". U.S. Food and Drug Administration (FDA). February 20, 2018. Archived from the original on April 26, 2020. Retrieved August 15, 2021.
- ^ Wehner MR, Nead KT, Lipoff JB (August 2017). "Association Between Gender and Drug Cost for Over-the-Counter Minoxidil". JAMA Dermatology. 153 (8): 825–826. doi:10.1001/jamadermatol.2017.1394. PMC 5817599. PMID 28593214.
- ^ a b "International brand names for minoxidil". Drugs.com. Archived from the original on August 8, 2017. Retrieved June 26, 2017.
- ^ a b c "VDPHL". AdisInsight. September 9, 2025. Retrieved October 23, 2025.
- ^ a b Hebebrand M (October 23, 2025). "Extended-Release Minoxidil Shows Promise in AGA". Dermatology Times. Retrieved October 23, 2025.
- ^ a b c Segal L (October 16, 2025). "A New Oral Minoxidil May Be FDA-Approved for Hair Loss: What to Know". Harper's BAZAAR. Retrieved October 23, 2025.
- ^ a b c Robin M (October 17, 2025). "A First-of-Its-Kind Hair Loss Pill Could Be on Its Way". Allure. Retrieved October 23, 2025.
- ^ a b c "Sublingual minoxidil". AdisInsight. September 22, 2025. Retrieved October 29, 2025.
- ^ a b c Samson Clinical (August 6, 2025). "First Patient Randomised in Samson Clinical Phase III Sublingual Minoxidil Trial for Male Pattern Hair Loss (Androgenetic Alopecia)". PR Newswire. Retrieved October 29, 2025.
- ^ a b c "ClinicalTrials.gov". ClinicalTrials.gov. July 23, 2025. Retrieved October 29, 2025.
- ^ "Phase 1 Pharmacokinetic Study of Minoxidil SL Tablets (A Phase 1 Randomized, Double Blind, Crossover Pharmacokinetic Study of Minoxidil Sublingual Tablets in Adult Male and Female Healthy Volunteers)". ClinicalTrials.gov. Retrieved January 17, 2026.
- ^ a b "Finasteride/latanoprost/minoxidil". AdisInsight. December 19, 2023. Retrieved October 23, 2025.
- ^ Sekhavat H, Ford P, Lepage A, Nateghi A, Yehuda SB, Bourgeois M (2023). "TH07 - A New Novel Topical Treatment for Androgenic Alopecia". Int J Trichology. 15 (6): 241–247. doi:10.4103/ijt.ijt_145_22 (inactive October 24, 2025). PMC 11588191. PMID 39600423.
{{cite journal}}: CS1 maint: DOI inactive as of October 2025 (link) - ^ a b "AB 103". AdisInsight. February 27, 2024. Retrieved October 23, 2025.
- ^ Goren A, Naccarato T (September 2018). "Minoxidil in the treatment of androgenetic alopecia". Dermatol Ther. 31 (5) e12686. doi:10.1111/dth.12686. PMID 30155952.
- ^ Smith CA, Pulminskas A, Rogers J, Fischer A, Deitelzweig C, Ohamadike C, et al. (2024). "Managing common dermatologic needs in transgender and gender-diverse adolescents". Curr Pediatr Rep. 13 8. doi:10.1007/s40124-025-00344-y. PMC 12180581. PMID 40547400.
- ^ Marinelli L, Bichiri A, Cagnina S, Castella L, Ghigo E, Motta G (November 2024). "Efficacy of topical minoxidil in enhancing beard growth in a group of transgender assigned female at birth individuals on gender affirming hormone therapy". J Endocrinol Invest. 47 (11): 2843–2850. doi:10.1007/s40618-024-02373-8. PMC 11473573. PMID 38644453.
- ^ Pang KC, Nguyen TP, Upreti R (2021). "Case Report: Successful Use of Minoxidil to Promote Facial Hair Growth in an Adolescent Transgender Male". Frontiers in Endocrinology. 12 725269. doi:10.3389/fendo.2021.725269. PMC 8511680. PMID 34659117.
- ^ a b c Thiagarajan AB, Woll JP, Hirpara MM, Mesinkovska NA, Horton L (October 2025). "Minoxidil as a treatment for onychodystrophy: a systematic review". JAAD Int. 22: 46–48. doi:10.1016/j.jdin.2025.05.014. PMC 12301801. PMID 40727639.
- ^ Clinical trial number NCT05272462 for "Oral Minoxidil for the Treatment of Recurrent Platinum Resistant Epithelial Ovarian Cancer" at ClinicalTrials.gov
- ^ Tater KC, Gwaltney-Brant S, Wismer T (September 2021). "Topical Minoxidil Exposures and Toxicoses in Dogs and Cats: 211 Cases (2001-2019)". J Am Anim Hosp Assoc. 57 (5): 225–231. doi:10.5326/JAAHA-MS-7154. PMID 34370845.
- ^ DeClementi C, Bailey KL, Goldstein SC, Orser MS (November 2004). "Suspected toxicosis after topical administration of minoxidil in 2 cats". Journal of Veterinary Emergency and Critical Care. 14 (4): 287–292. doi:10.1111/j.1476-4431.2004.04014.x.
- ^ Johnson TE, Fick ME, Haraschak JL, Vernier ME, Kadotani S (2023). "Successful management of minoxidil 5% toxicosis in 2 cats from the same household". J Vet Emerg Crit Care (San Antonio). 33 (4): 454–459. doi:10.1111/vec.13296. PMID 37222073.
- ^ Jordan TJ, Yaxley PE, Culler CA, Balakrishnan A (January 2018). "Successful management of minoxidil toxicosis in a dog". J Am Vet Med Assoc. 252 (2): 222–226. doi:10.2460/javma.252.2.222. PMID 29319439.
External links
- "Minoxidil Topical". MedlinePlus.

