tert-Butylbenzene
![]() | |
| Names | |
|---|---|
| Preferred IUPAC name
tert-Butylbenzene | |
Other names
| |
| Identifiers | |
CAS Number
|
|
3D model (JSmol)
|
|
| ChEMBL | |
| ChemSpider | |
| ECHA InfoCard | 100.002.394 |
| EC Number |
|
PubChem CID
|
|
| UNII | |
| UN number | 2709 |
CompTox Dashboard (EPA)
|
|
InChI
| |
SMILES
| |
| Properties | |
Chemical formula
|
C10H14 |
| Molar mass | 134.22 |
| Appearance | colorless liquid |
| Density | 0.867 g/cm3 |
| Melting point | −57.9 °C (−72.2 °F; 215.2 K) |
| Boiling point | 169 °C (336 °F; 442 K) |
Solubility in water
|
insoluble |
| Solubility in organic solvents | miscible |
| Hazards | |
| Occupational safety and health (OHS/OSH): | |
Main hazards
|
Flammable |
| GHS labelling: | |
Pictograms
|
![]()
|
Signal word
|
Warning |
Hazard statements
|
H226, H315, H319 |
Precautionary statements
|
P210, P233, P240, P241, P242, P243, P261, P264, P271, P280, P302+P352, P303+P361+P353, P304+P312, P304+P340, P305+P351+P338, P312, P321, P332+P313, P362, P370+P378, P403+P235, P501 |
| Flash point | 34.4 °C (93.9 °F; 307.5 K) |
Autoignition
temperature |
450 °C (842 °F; 723 K) |
| Related compounds | |
Related compounds
|
iso-Butylbenzene, sec-Butylbenzene, n-Butylbenzene |
Except where otherwise noted, data are given for materials in their standard state (at 25 °C [77 °F], 100 kPa).
Infobox references
| |
tert-Butylbenzene is an organic compound classified as an aromatic hydrocarbon. Its structure consists of a benzene ring substituted with a tert-butyl group. It is a flammable colorless liquid which is nearly insoluble in water but miscible with organic solvents.
Production
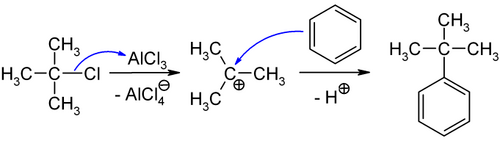
tert-Butylbenzene can be produced by the treatment of benzene with isobutene[1] or by the reaction of benzene with tert-butyl chloride in presence of anhydrous aluminium chloride,[2] the latter is depicted below:

References
- ^ Griesbaum, Karl; Behr, Arno; Biedenkapp, Dieter; Voges, Heinz-Werner; Garbe, Dorothea; Paetz, Christian; Collin, Gerd; Mayer, Dieter; Höke, Hartmut (2002). "Hydrocarbons". Ullmann's Encyclopedia of Industrial Chemistry. Weinheim: Wiley-VCH. doi:10.1002/14356007.a13_227. ISBN 978-3-527-30673-2.
- ^ Fieser, Louis F. (1941), Experiments in Organic Chemistry, Second Edition, pp. 180–181, doi:10.1021/ed018p550.1


