Toluene
| |||
![]() | |||
| Names | |||
|---|---|---|---|
| Preferred IUPAC name
Toluene[2] | |||
| Systematic IUPAC name
Methylbenzene | |||
| Other names | |||
| Identifiers | |||
CAS Number
|
|||
3D model (JSmol)
|
|||
| Abbreviations | PhMe MePh BnH Tol | ||
| ChEBI | |||
| ChEMBL | |||
| ChemSpider | |||
| DrugBank | |||
| ECHA InfoCard | 100.003.297 | ||
IUPHAR/BPS
|
|||
| KEGG | |||
PubChem CID
|
|||
| RTECS number |
| ||
| UNII | |||
| UN number | 1294 | ||
CompTox Dashboard (EPA)
|
|||
InChI
| |||
SMILES
| |||
| Properties | |||
Chemical formula
|
C7H8 | ||
| Molar mass | 92.141 g·mol−1 | ||
| Appearance | Colorless liquid[3] | ||
| Odor | sweet, pungent, benzene-like[4] | ||
| Density | 0.8623 g/mL (25 °C)[1] | ||
| Melting point | −95.0 °C (−139.0 °F; 178.2 K)[1] | ||
| Boiling point | 110.60 °C (231.08 °F; 383.75 K)[1] | ||
Solubility in water
|
0.54 g/L (5 °C) 0.519 g/L (25 °C) 0.63 g/L (45 °C) 1.2 g/L (90 °C)[5] | ||
| log P | 2.73[6] | ||
| Vapor pressure | 2.8 kPa (20 °C)[4] | ||
Magnetic susceptibility (χ)
|
−66.1·10−6 cm3/mol[7] | ||
| Thermal conductivity | 0.1310 W/(m·K) (25 °C)[8] | ||
Refractive index (nD)
|
1.4941 (25 °C)[1] | ||
| Viscosity | 0.560 mPa·s (25 °C)[9] | ||
| Structure | |||
Dipole moment
|
0.375 D[10] | ||
| Thermochemistry[11] | |||
Heat capacity (C)
|
157.3 J/(mol·K) | ||
Std enthalpy of
formation (ΔfH⦵298) |
12.4 kJ/mol | ||
Std enthalpy of
combustion (ΔcH⦵298) |
3.910 MJ/mol | ||
| Hazards | |||
| Occupational safety and health (OHS/OSH): | |||
Main hazards
|
highly flammable | ||
| GHS labelling: | |||
Pictograms
|
![]() ![]()
| ||
Signal word
|
Danger | ||
Hazard statements
|
H225, H304, H315, H336, H361d, H373 | ||
Precautionary statements
|
P210, P240, P301+P310, P302+P352, P308+P313, P314, P403+P233 | ||
| NFPA 704 (fire diamond) | ![]()
2
3
0 | ||
| Flash point | 4 °C (39 °F; 277 K)[12] | ||
Autoignition
temperature |
480[12] °C (896 °F; 753 K) | ||
| Explosive limits | 1.1–7.1%[12] | ||
Threshold limit value (TLV)
|
50 mL/m3, 190 mg/m3 | ||
| Lethal dose or concentration (LD, LC): | |||
LC50 (median concentration)
|
>26700 ppm (rat, 1 h) 400 ppm (mouse, 24 h)[13] | ||
LCLo (lowest published)
|
55,000 ppm (rabbit, 40 min)[13] | ||
| NIOSH (US health exposure limits): | |||
PEL (Permissible)
|
TWA 200 ppm C 300 ppm 500 ppm (10-minute maximum peak)[4] | ||
REL (Recommended)
|
TWA 100 ppm (375 mg/m3) ST 150 ppm (560 mg/m3)[4] | ||
IDLH (Immediate danger)
|
500 ppm[4] | ||
| Safety data sheet (SDS) | SIRI.org | ||
| Related compounds | |||
Related aromatic hydrocarbons
|
benzene xylene naphthalene | ||
Related compounds
|
methylcyclohexane methylcyclohexene | ||
| Supplementary data page | |||
| Toluene (data page) | |||
Except where otherwise noted, data are given for materials in their standard state (at 25 °C [77 °F], 100 kPa).
Infobox references
| |||
Toluene (/ˈtɒl.juiːn/), also known as toluol (/ˈtɒl.ju.ɒl, -ɔːl, -oʊl/), is a substituted aromatic hydrocarbon[15] with the chemical formula C6H5CH3, often abbreviated as PhCH3, where Ph stands for the phenyl group. It is a colorless, water-insoluble liquid with the odor associated with paint thinners. It is a mono-substituted benzene derivative, consisting of a methyl group (CH3) attached to a phenyl group by a single bond. As such, its systematic IUPAC name is methylbenzene. Toluene is predominantly used as an industrial feedstock and a solvent.
As the solvent in some types of paint thinner, permanent markers, contact cement and certain types of glue, toluene is sometimes used as a recreational inhalant[16] and has the potential of causing severe neurological harm.[17][18]
History
The compound was first isolated in 1837 through a distillation of pine oil by Pierre Joseph Pelletier and Filip Neriusz Walter, who named it rétinnaphte.[19][20] In 1841, Henri Étienne Sainte-Claire Deville isolated a hydrocarbon from balsam of Tolu (an aromatic extract from the tropical Colombian tree Myroxylon balsamum), which Deville recognized as similar to Walter's rétinnaphte and to benzene; hence he called the new hydrocarbon benzoène.[21][22][23] In 1843, Jöns Jacob Berzelius recommended the name toluin.[24] In 1850, French chemist Auguste Cahours isolated from a distillate of wood a hydrocarbon which he recognized as similar to Deville's benzoène and which Cahours named toluène.[25][26]
Chemical properties
The distance between carbon atoms in the toluene ring is 0.1399 nm. The C-CH3 bond is longer at 0.1524 nm, while the average C-H bond length is 0.111 nm.[27]
Ring reactions
Toluene reacts as a normal aromatic hydrocarbon in electrophilic aromatic substitution.[28][29][30] Because the methyl group has greater electron-releasing properties than a hydrogen atom in the same position, toluene is more reactive than benzene toward electrophiles. It undergoes sulfonation to give p-toluenesulfonic acid, and chlorination by Cl2 in the presence of FeCl3 to give ortho- and para- isomers of chlorotoluene.
Nitration of toluene gives mono-, di-, and trinitrotoluene, all of which are widely used. Dinitrotoluene is the precursor to toluene diisocyanate, a precursor to polyurethane foam. Trinitrotoluene (TNT) is an explosive.
Complete hydrogenation of toluene gives methylcyclohexane. The reaction requires a high pressure of hydrogen and a catalyst.
Side chain reactions
The C-H bonds of the methyl group in toluene are benzylic, therefore they are weaker than C-H bonds in simpler alkanes. Reflecting this weakness, the methyl group in toluene undergoes a variety of free radical reactions. For example, when heated with N-bromosuccinimide (NBS) in the presence of AIBN, toluene converts to benzyl bromide. The same conversion can be effected with elemental bromine in the presence of UV light or even sunlight.
Toluene may also be brominated by treating it with HBr and H2O2 in the presence of light.[31]
- C6H5CH3 + Br2 → C6H5CH2Br + HBr
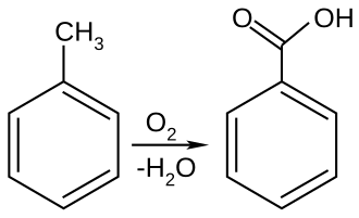
Benzoic acid and benzaldehyde are produced commercially by partial oxidation of toluene with oxygen. Typical catalysts include cobalt or manganese naphthenates.[32] Related but laboratory-scale oxidations involve the use of potassium permanganate to yield benzoic acid and chromyl chloride to yield benzaldehyde (Étard reaction).
The methyl group in toluene undergoes deprotonation only with very strong bases; its pKa is estimated using acidity trends to be approximately 43 in dimethyl sulfoxide (DMSO)[33][34] and its ion pair acidity is extrapolated to be 41.2 in cyclohexylamine (Cesium Cyclohexylamide) using a Bronsted correlation.[35][36]
Miscibility
Toluene is miscible (soluble in all proportions) with ethanol, benzene, diethyl ether, acetone, chloroform, glacial acetic acid and carbon disulfide, but immiscible with water.[37]
Production
Toluene occurs naturally at low levels in crude oil and is a byproduct in the production of gasoline by a catalytic reformer or ethylene cracker. It is also a byproduct of the production of coke from coal. Final separation and purification is done by any of the distillation or solvent extraction processes used for BTX aromatics (benzene, toluene, and xylene isomers).[15]
Other preparative routes
Toluene can be prepared by a variety of methods. For example, benzene reacts with methanol in presence of a solid acid to give toluene and water:[15]
Uses
Toluene is one of the most abundantly produced chemicals. Its main uses are (1) as a precursor to benzene and xylenes, (2) as a solvent for thinners, paints, lacquers, adhesives, and (3) as an additive for gasoline.[15] In 2013, worldwide sales of toluene amounted to about 24.5 billion US dollars.[38]
Precursor to benzene and xylenes
Toluene is converted to benzene via hydrodealkylation:
- C6H5CH3 + H2 → C6H6 + CH4
Its transalkylation gives a mixture of benzene and xylenes.
Solvent
Toluene is widely used in the paint, dye, rubber, chemical, glue, printing, and pharmaceutical industries as a solvent.[39] Nail polish, paintbrush cleaners, and stain removers may contain toluene. Manufacturing of explosives (TNT) uses it as well. Toluene is also found in cigarette smoke and car exhaust. If not in contact with air, toluene can remain unchanged in soil or water for a long time.[40]
Toluene is a common solvent, e.g. for paints, paint thinners, strippers, silicone sealants,[41] many chemical reactants, rubber, printing ink, adhesives (glues), lacquers, leather tanners, and disinfectants.[15]
Fuel
Toluene is an octane booster in gasoline fuels for internal combustion engines as well as jet fuel and turbocharged engines in Formula One.[42]
In Australia in 2003, toluene was found to have been illegally combined with petrol in fuel outlets for sale as standard vehicular fuel. Toluene incurs no fuel excise tax, while other fuels are taxed at more than 40%, providing a greater profit margin for fuel suppliers. The extent of toluene substitution is claimed to be 60%.[43][44]
Niche applications
In the laboratory, toluene is used as a solvent for carbon nanomaterials, including nanotubes and fullerenes, and it can also be used as a fullerene indicator. The color of the toluene solution of C60 is bright purple. Toluene is used as a cement for fine polystyrene kits (by dissolving and then fusing surfaces) as it can be applied very precisely by brush and contains none of the bulk of an adhesive. Toluene can be used to break open red blood cells in order to extract hemoglobin in biochemistry experiments. Toluene has also been used as a coolant for its good heat transfer capabilities in sodium cold traps used in nuclear reactor system loops. Toluene had also been used in the process of removing the cocaine from coca leaves in the production of Coca-Cola syrup.[45]
Toxicology and metabolism
The environmental and toxicological effects of toluene have been extensively studied.[46]
Toluene is irritating to the eyes, skin, and respiratory tract. It is absorbed slowly through the skin. It can cause systemic toxicity by inhalation or ingestion. Inhalation is the most common route of exposure. Symptoms of toluene poisoning include central nervous system effects (headache, dizziness, drowsiness, ataxia, euphoria, tremors, hallucinations, seizures, and coma), chemical pneumonitis, respiratory depression, ventricular arrhythmias, nausea, vomiting, and electrolyte imbalances.[39]
Inhalation of toluene in low to moderate levels can cause tiredness, confusion, weakness, drunken-type actions, memory loss, nausea, loss of appetite, hearing loss,[47][48][49] and colour vision loss.[50] Some of these symptoms usually disappear when exposure is stopped. Inhaling high levels of toluene in a short time may cause light-headedness, nausea, or sleepiness, unconsciousness, and even death.[51][52] Toluene is, however, much less toxic than benzene, and as a consequence, largely replaced it as an aromatic solvent in chemical preparation. The US Environmental Protection Agency (EPA) states that the carcinogenic potential of toluene cannot be evaluated due to insufficient information.[53]
Toluene occurs as an indoor air pollutant in a number of processes including electrosurgery, and can be removed from the air with an activated carbon filter.[54]
Similarly to many other solvents such as 1,1,1-trichloroethane and some alkylbenzenes, toluene has been shown to act as a non-competitive NMDA receptor antagonist and GABAA receptor positive allosteric modulator.[55] Additionally, toluene has been shown to display antidepressant-like effects in rodents in the forced swim test (FST) and the tail suspension test (TST),[55] likely due to its NMDA antagonist properties.
Toluene inhibits excitatory ion channels such as the NMDA receptor, nicotinic acetylcholine receptor, and the serotonin 5-HT3 receptor. It also potentiates the function of inhibitory ion channels, such as the GABAA and glycine receptors. In addition, toluene disrupts voltage-gated calcium channels and ATP-gated ion channels.[56]
Recreational use
Toluene is sometimes used as a recreational inhalant ("glue sniffing"), likely on account of its euphoric and dissociative effects,[55] in a manner unintended by manufacturers. People inhale toluene-containing products (e.g., paint thinner, contact cement, correction pens, model glue, etc.) for its intoxicating effect. The possession and use of toluene and products containing it are regulated in many jurisdictions, for the supposed reason of preventing minors from obtaining these products for recreational drug purposes. As of 2007, 24 US states had laws penalizing use, possession with intent to use, and/or distribution of such inhalants.[57] In 2005 the European Union banned the general sale of products consisting of greater than 0.5% toluene.[58]
Bioremediation
Several types of fungi including Cladophialophora, Exophiala, Leptodontidium (syn. Leptodontium), Pseudeurotium zonatum, and Cladosporium sphaerospermum, and certain species of bacteria can degrade toluene, using it as a source of carbon and energy.[59]
References
- ^ a b c d e Haynes, p. 3.514
- ^ Nomenclature of Organic Chemistry : IUPAC Recommendations and Preferred Names 2013 (Blue Book). Cambridge: The Royal Society of Chemistry. 2014. p. 139. doi:10.1039/9781849733069-00130. ISBN 978-0-85404-182-4.
Toluene and xylene are preferred IUPAC names, but are not freely substitutable; toluene is substitutable under certain conditions, but only for general nomenclature (see P-15.1.8 for a general substitution rules for retained names).
- ^ Record in the GESTIS Substance Database of the Institute for Occupational Safety and Health
- ^ a b c d e NIOSH Pocket Guide to Chemical Hazards. "#0619". National Institute for Occupational Safety and Health (NIOSH).
- ^ Haynes, p. 5.164
- ^ Haynes, p. 5.176
- ^ Haynes, p. 3.579
- ^ Haynes, p. 6.258
- ^ Haynes, p. 6.246
- ^ Haynes, p. 9.66
- ^ Haynes, pp. 5.39, 5.67
- ^ a b c Haynes, p. 16.30
- ^ a b "Toluene". Immediately Dangerous to Life or Health Concentrations. National Institute for Occupational Safety and Health.
- ^ "NFPA Chemicals". New Environment, Inc. Archived from the original on November 14, 2021. Retrieved March 13, 2015.
- ^ a b c d e Jörg F, Ulrich G, Simo TA (2005). "Toluene". Ullmann's Encyclopedia of Industrial Chemistry. Weinheim: Wiley-VCH. doi:10.1002/14356007.a27_147.pub2. ISBN 978-3-527-30673-2.
- ^ McKeown NJ (February 1, 2015). Tarabar A (ed.). "Toluene Toxicity, Background, Pathophysiology, Epidemiology". WebMD Health Professional Network. Archived from the original on March 9, 2016. Retrieved March 22, 2016.
- ^ Streicher HZ, Gabow PA, Moss AH, Kono D, Kaehny WD (June 1981). "Syndromes of toluene sniffing in adults". Annals of Internal Medicine. 94 (6): 758–62. doi:10.7326/0003-4819-94-6-758. PMID 7235417.
- ^ Devathasan G, Low D, Teoh PC, Wan SH, Wong PK (February 1984). "Complications of chronic glue (toluene) abuse in adolescents". Australian and New Zealand Journal of Medicine. 14 (1): 39–43. doi:10.1111/j.1445-5994.1984.tb03583.x. PMID 6087782.
- ^ Pelletier PJ and Walter FN (1837) "Examen des produits provenant du traitement de la résine dans la fabrication du gaz pour l'éclairage" Archived October 21, 2016, at the Wayback Machine (Examination of products arising from the treatment of resin during the production of illuminating gas), Comptes rendus, 4 : 898–899.
- ^ Pelletier PJ and Walter FN (1838) "Examen des produits provenant du traitement de la résine dans la fabrication du gaz pour l'éclairage," Archived September 13, 2022, at the Wayback Machine Annales de Chimie et de Physique, 2nd series, 67 : 269–303. Toluene is named on pp. 278–279: "Nous désignerons la substance qui nous occupe par le nom de rétinnaphte, qui rappelle son origine et ses propriétés physiques (ρητίνη-νάφτα)." (We will designate the substance that occupies us by the name of rétinnaphte, which recalls its origin and its physical properties (ρητίνη-νάφτα [resin-naphtha]).
- ^ Deville, H. (1841) "Recherches sur les résines. Étude du baume de Tolu" Archived October 21, 2016, at the Wayback Machine (Investigations of resins. Study of Tolu balsam), Comptes rendus, 13 : 476–478.
- ^ Deville, H. (1841) "Recherches chimiques sur les résines; Premier mémoire" Archived May 2, 2021, at the Wayback Machine (Chemical investigations of resins; first memoir), Annales de Chimie et de Physique, 3rd series, 3 : 151–195. Deville names toluene on p. 170: "J'ai adopté, pour le corps qui m'occupe dans ce moment, le nom de benzoène, qui rappelle, dans les baumes dont il provient, ce caractère presque générique qui est de contenir de l'acide benzoïque." (I've adopted, for this substance that occupies me at the moment, the name benzoène, which recalls, in the balsams from which it comes, that character which is contained in benzoic acid.)
- ^ Wisniak J (2004). "Henri Étienne Sainte-Claire Deville: A physician turned metallurgist". Journal of Materials Engineering and Performance. 13 (2): 117–118. Bibcode:2004JMEP...13..117W. doi:10.1361/10599490418271. S2CID 95058552.
- ^ Berzelius, Jacob (1843) Jahres Berichte, 22 : 353–354. Archived September 13, 2022, at the Wayback Machine.
- ^ Cahours A (1850). "Recherches sur les huiles légères obtenues dans la distillation du bois" [Investigations of light oils obtained by the distillation of wood]. Comptes Rendus (in French). 30: 319–323 (320). Archived from the original on March 1, 2016. Retrieved August 2, 2015.
- ^ Wisniak J (October 2013). "Auguste André Thomas Cahours". Educación Química. 24 (4): 451–460. doi:10.1016/S0187-893X(13)72500-X.
- ^ Haynes, p. 9.53
- ^ Vogel AS, Furniss BS, Hannaford AJ, Tatchell AR, Smith PW (1989). Vogel's Textbook of Practical Organic Chemistry (PDF) (5th ed.). New York: Longman/Wiley. ISBN 0-582-46236-3.
- ^ Wade LG (2003). Organic Chemistry (5th ed.). Upper Saddle River, New Jersey: Prentice Hall. p. 871. ISBN 013033832X.
- ^ March J (1992). Advanced Organic Chemistry (4th ed.). New York: Wiley. p. 723. ISBN 0-471-58148-8.
- ^ Podgoršek A, Stavber S, Zupan M, Iskra J (2006). "Free Radical Bromination by the H2O2–HBr System on water". Tetrahedron Letters. 47 (40): 7245–7247. doi:10.1016/j.tetlet.2006.07.109.
- ^ Wade LG (2014). Organic Chemistry (Pearson new international ed.). Harlow: Pearson Education Limited. p. 985. ISBN 978-1-292-02165-2.
- ^ Bordwell FG, Algrim DJ (April 1988). "Acidities of anilines in dimethyl sulfoxide solution". Journal of the American Chemical Society. 110 (9): 2964–2968. Bibcode:1988JAChS.110.2964B. doi:10.1021/ja00217a045. ISSN 0002-7863.
- ^ Bordwell FG (December 1, 1988). "Equilibrium acidities in dimethyl sulfoxide solution". Accounts of Chemical Research. 21 (12): 456–463. doi:10.1021/ar00156a004. ISSN 0001-4842.
- ^ Henry Hsieh, Roderic P. Quirk. Anionic Polymerization: Principles and Practical Applications. p. 41.
- ^ Buncel E, Durst T (1980). A. Streitwieser, Jr., E. Juaristi, and L. L. Nebenzahl, in Comprehensive Carbanion Chemistry Volume 5: Part A Structure and Reactivity (Studies in Organic Chemistry). Elsevier Scientific Publishing Company. p. 323. ISBN 9780444419132.
- ^ "Toluene, Semiconductor Grade, 99% min, Thermo Scientific | Fisher Scientific". www.fishersci.com. Retrieved April 26, 2022.
- ^ Ceresana. "Toluene – Study: Market, Analysis, Trends – Ceresana". Archived from the original on April 29, 2017. Retrieved April 14, 2015.
- ^ a b "Toluene | Medical Management Guidelines | Toxic Substance Portal | ATSDR". Retrieved June 2, 2023.
- ^ "Toluene". January 30, 2018.
- ^ "Dual cure, low-solvent silicone pressure sensitive adhesives – General Electric Company". Archived from the original on October 4, 2012. Retrieved February 15, 2008.
- ^ Honda Formula One Turbo-charged V-6 1.5L Engine (PDF). SAE International Congress and Exposition. March 3, 1989. Archived (PDF) from the original on September 11, 2017. Retrieved September 11, 2017.
- ^ "Scam on petrol sparks spot tests". Liberty Oil. Archived from the original on March 3, 2016.
- ^ "The World Today Archive – Authorities yet to acknowledge petrol scam problem". Australian Broadcasting Corporation. Archived from the original on November 10, 2012. Retrieved September 4, 2009.
- ^ Merory J (1968). Food Flavorings: Composition, Manufacture and Use (2nd ed.). Westport, CT: AVI Publishing Company, Inc..
- ^ Hogan CM (2011), "Sulfur", in Jorgensen A, Cleveland CJ (eds.), Encyclopedia of Earth, Washington DC: National Council for Science and the Environment, archived from the original on October 28, 2012, retrieved October 26, 2012
- ^ Chang SJ, Chen CJ, Lien CH, Sung FC (August 2006). "Hearing loss in workers exposed to toluene and noise". Environmental Health Perspectives. 114 (8): 1283–6. Bibcode:2006EnvHP.114.1283C. doi:10.1289/ehp.8959. PMC 1552019. PMID 16882540.
- ^ Morata TC, Nylén P, Johnson AC, Dunn DE (1995). "Auditory and vestibular functions after single or combined exposure to toluene: a review". Archives of Toxicology. 69 (7): 431–43. Bibcode:1995ArTox..69..431M. doi:10.1007/s002040050196. PMID 8526738. S2CID 22919141.
- ^ Preventing hearing loss caused by chemical (ototoxicity) and noise exposure (PDF) (Report). September 1, 2020. doi:10.26616/NIOSHPUB2018124.
- ^ Kishi R, Eguchi T, Yuasa J, Katakura Y, Arata Y, Harabuchi I, et al. (January 2001). "Effects of low-level occupational exposure to styrene on color vision: dose relation with a urinary metabolite". Environmental Research. 85 (1): 25–30. Bibcode:2001ER.....85...25K. doi:10.1006/enrs.2000.4227. PMID 11161648.
- ^ "Health Effects of Toluene" Archived November 25, 2010, at the Wayback Machine, Canadian Centre for Occupational Health and Safety.
- ^ "Toluene Toxicity Physiologic Effects" Archived October 12, 2016, at the Wayback Machine, Agency for Toxic Substances and Disease Registry.
- ^ [1] Archived March 6, 2015, at the Wayback Machine, EPA
- ^ Carroll GT, Kirschman DL (December 2022). "A Peripherally Located Air Recirculation Device Containing an Activated Carbon Filter Reduces VOC Levels in a Simulated Operating Room". ACS Omega. 7 (50): 46640–46645. doi:10.1021/acsomega.2c05570. PMC 9774396. PMID 36570243.
- ^ a b c Cruz SL, Soberanes-Chávez P, Páez-Martinez N, López-Rubalcava C (June 2009). "Toluene has antidepressant-like actions in two animal models used for the screening of antidepressant drugs". Psychopharmacology. 204 (2): 279–86. doi:10.1007/s00213-009-1462-2. PMID 19151967. S2CID 2235023.
- ^ "Toluene". Archived from the original on February 16, 2019. Retrieved February 15, 2019.
- ^ Spigel S (July 8, 2009). "State Laws on Inhalant Use". Archived from the original on February 25, 2015. Retrieved April 13, 2015.
- ^ "EU sets 0.1% limit on use of toluene, TCB". ICIS. Reed Business Information. September 24, 2005. Archived from the original on July 18, 2018. Retrieved July 18, 2018.
- ^ Prenafeta-Boldu FX, Kuhn A, Luykx DM, Anke H, van Groenestijn JW, de Bont JA (April 2001). "Isolation and characterisation of fungi growing on volatile aromatic hydrocarbons as their sole carbon and energy source". Mycological Research. 105 (4): 477–484. doi:10.1017/S0953756201003719. Archived from the original on September 22, 2017. Retrieved April 20, 2018.
Cited sources
- Haynes, William M., ed. (2016). CRC Handbook of Chemistry and Physics (97th ed.). CRC Press. ISBN 978-1-4987-5429-3.
External links
- ATSDR – Case Studies in Environmental Medicine: Toluene Toxicity Archived February 4, 2016, at the Wayback Machine U.S. Department of Health and Human Services (public domain)
- American Industrial Hygiene Association, The Ear Poisons, The Synergist, November 2018.
- Toluene CDC – NIOSH Workplace Safety and Health Topic (DHHS)
- OSHA-NIOSH 2018. Preventing Hearing Loss Caused by Chemical (Ototoxicity) and Noise Exposure Safety and Health Information Bulletin (SHIB), Occupational Safety and Health Administration and the National Institute for Occupational Safety and Health. SHIB August 3, 2018. DHHS (NIOSH) Publication No. 2018-124.
- Toxic trouble: Chinese children fall ill after inhaling fumes from newly laid school running tracks, South China Morning Post, 2015







