Antrafenine

Antrafenine
Clinical data
Routes of
administration
Oral
ATC code
  • none
Legal status
Legal status
  • In general: ℞ (Prescription only)
Pharmacokinetic data
MetabolismHepatic
ExcretionRenal
Identifiers
IUPAC name
  • 2-{4-[3-(trifluoromethyl)phenyl]piperazin-1-yl}ethyl 2-{[7-(trifluoromethyl)quinolin-4-yl]amino}benzoate
CAS Number
PubChem CID
DrugBank
ChemSpider
UNII
ChEMBL
CompTox Dashboard (EPA)
Chemical and physical data
FormulaC30H26F6N4O2
Molar mass588.554 g·mol−1
3D model (JSmol)
SMILES
  • FC(F)(F)c5ccc1c(nccc1Nc2ccccc2C(=O)OCCN4CCN(c3cc(ccc3)C(F)(F)F)CC4)c5
InChI
  • InChI=1S/C30H26F6N4O2/c31-29(32,33)20-4-3-5-22(18-20)40-14-12-39(13-15-40)16-17-42-28(41)24-6-1-2-7-25(24)38-26-10-11-37-27-19-21(30(34,35)36)8-9-23(26)27/h1-11,18-19H,12-17H2,(H,37,38) checkY
  • Key:NWGGKKGAFZIVBJ-UHFFFAOYSA-N checkY
  (verify)

Antrafenine (Stakane) is a phenylpiperazine derivative drug invented in 1979.[1] It acts as an analgesic and anti-inflammatory drug with similar efficacy to naproxen,[2] but is not widely used as it has largely been replaced by newer drugs.

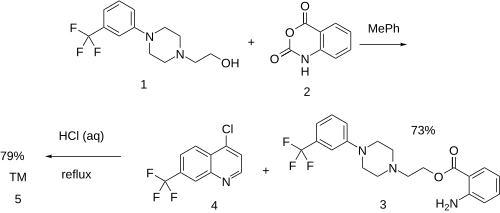
Synthesis

Thieme Synthesis:[1] Patents:[3][4][5]

Method E: The reaction between 2-[4-[3-(trifluoromethyl)phenyl]-1-piperazinyl]ethanol [40004-29-3] (1) and Isatoic anhydride [118-48-9] (2) goes on to give 4-(3-(Trifluoromethyl)phenyl)piperazine-1-ethyl 2-aminobenzoate [51941-08-3] (3).

Method G: Alkylation with 4-chloro-7-(trifluoromethyl)quinoline [346-55-4] (4) completed the synthesis of antrafenine (5).

See also

References

  1. ^ a b Manoury PM, Dumas AP, Najer H, Branceni D, Prouteau M, Lefevre-Borg FM (May 1979). "Synthesis and analgesic activities of some (4-substituted phenyl-1-piperazinyl)alkyl 2-aminobenzoates and 2-aminonicotinates". Journal of Medicinal Chemistry. 22 (5): 554–9. doi:10.1021/jm00191a017. PMID 458805.
  2. ^ Leatham PA, Bird HA, Wright V, Seymour D, Gordon A (1983). "A double blind study of antrafenine, naproxen and placebo in osteoarthrosis". European Journal of Rheumatology and Inflammation. 6 (2): 209–11. PMID 6673985.
  3. ^ Don Pierre Rene Lucien Giudicelli, et al. U.S. patent 4,017,623 (1977 to Synthelabo SA).
  4. ^ Don Pierre Rene Lucien Giudicelli, et al. U.S. patent 3,935,229 (1976 to Synthelabo SA).
  5. ^ Don Pierre Rene Lucien Giudicelli, et al. U.S. patent 3,953,449 (1976 to Synthelabo SA).